Penamecillin
Structural Formula Vector Image
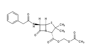
Title: Penamecillin
CAS Registry Number: 983-85-7
CAS Name: (2S,5R,6R)-3,3-Dimethyl-7-oxo-6-[(phenylacetyl)amino]-4-thia-1-azabicyclo[3.2.0]heptane-2-carboxylic acid (acetyloxy)methyl ester
Additional Names: penicillin G hydroxymethyl ester acetate; acetoxymethyl benzylpenicillinate; benzylpenicillin acetoxymethyl ester
Manufacturers' Codes: Wy-20788
Trademarks: Havapen (Wyeth); Maripen (Biogal)
Molecular Formula: C19H22N2O6S
Molecular Weight: 406.45
Percent Composition: C 56.15%, H 5.46%, N 6.89%, O 23.62%, S 7.89%
Literature References: Semi-synthetic antibiotic related to penicillin. Prepn: A. B. A. Jansen, T. J. Russell, J. Chem. Soc. 1965, 2127; eidem, GB 1003479 (1965 to John Wyeth & Brother); eidem, US 3250679 (1966 to Am. Home).
Properties: Crystals from isopropanol + ethanol, mp 106-108°. [a]D20 +154°. Not inactivated by gastric acid.
Melting point: mp 106-108°
Optical Rotation: [a]D20 +154°
Therap-Cat: Antibacterial.
Keywords: Antibacterial (Antibiotics); ?Lactams; Penicillins.

Other Monographs:
CyclodrineAsclepias syriacaEthyl Chloroacetate2,2,3,3,4,4,5,5-Octafluoro-1-pentanol
4',5'-DichlorofluoresceinMethacrylic AcidPotassium Hexafluorozirconate(IV)Iodoacetic Acid
FenthionDeoxyuridineZinostatinLinseed
Apo-β-erythroidine1-Theobromineacetic AcidChaulmoogric AcidWarfarin
©2006-2023 DrugFuture->Chemical Index Database