Solanesol
Structural Formula Vector Image
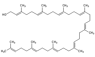
Title: Solanesol
CAS Registry Number: 13190-97-1
CAS Name: (2E,6E,10E,14E,18E,22E,26E,30E,)-3,7,11,15,19,23,27,31,35-Nonamethyl-2,6,10,14,18,22,26,30,34-hexatriacontanonaen-1-ol
Additional Names: nonaisoprenol
Molecular Formula: C45H74O
Molecular Weight: 631.07
Percent Composition: C 85.65%, H 11.82%, O 2.54%
Literature References: High molecular weight isoprenoid alcohol isolated from tobacco leaf. Associated with the particulate fraction of tobacco smoke. Isoln: R. L. Rowland et al., J. Am. Chem. Soc. 78, 4680 (1956). Synthesis: R. Rüegg et al., Helv. Chim. Acta 43, 1745 (1960). Stereoselective synthesis: K. Sato et al., J. Chem. Soc. Perkin Trans. 1 1981, 761. Structural analysis: N. J. Jensen, T. Sumpter, Beitr. Tabakforsch. Int. 16, 85 (1995). Determn in tobacco smoke: M. W. Ogden, K. C. Maiolo, LC-GC 10, 459 (1992); in tobacco extracts: K. Z. Liu et al., Anal. Lett. 31, 1947 (1998).
Properties: White waxy solid, mp 41.5-42.5°. Sol in organic solvents. Insol in water.
Melting point: mp 41.5-42.5°
Use: Tracer for environmental exposure to tobacco smoke.

Other Monographs:
α-SantoninBifeprunox1-Anilino-8-naphthalenesulfonateTectorigenin
TuberactinomycinNitrohydrochloric AcidDodecamethylcyclohexasiloxaneNoracymethadol
EthylbenzylanilineBarium Iodateo-Thymotic AcidTurks Island Salt
AkuammicineSomatostatinα-YohimbineTemocapril
©2006-2023 DrugFuture->Chemical Index Database