Octreotide
Structural Formula Vector Image
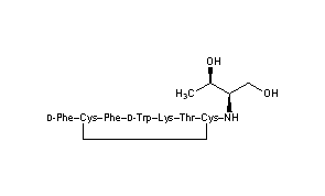
Title: Octreotide
CAS Registry Number: 83150-76-9
CAS Name: D-Phenylalanyl-L-cysteinyl-L-phenylalanyl-D-tryptophyl-L-lysyl-L-threonyl-N-[2-hydroxy-1-(hydroxymethyl)propyl]-L-cysteinamide cyclic (2®7)-disulfide
Additional Names: 1,2-dithia-5,8,11,14,17-pentaazacycloeicosane cyclic peptide deriv
Manufacturers' Codes: SMS-201-995
Molecular Formula: C49H66N10O10S2
Molecular Weight: 1019.24
Percent Composition: C 57.74%, H 6.53%, N 13.74%, O 15.70%, S 6.29%
Literature References: Octapeptide analog of somatostatin, q.v. Prepn: W. Bauer, J. Pless, EP 29579; eidem, US 4395403 (1981, 1983 both to Sandoz); and pharmacology: W. Bauer et al., Life Sci. 31, 1133 (1982). Opiate antagonist properties: R. Maurer et al., Proc. Natl. Acad. Sci. USA 79, 4815 (1982). Inhibitory effect on human gastroenteropancreatic hormone secretion: M. E. Kraenzlin et al., Experientia 41, 738 (1985). Endocrine profile in humans: E. del Pozo et al., Acta Endocrinol. 111, 433 (1986). Clinical evaluation in acromegaly: G. Plewe et al., Lancet 2, 782 (1984); in autonomic neuropathy: R. D. Hoeldtke et al., ibid. 2, 602 (1986). Symposium on chemistry, pharmacology and clinical trials: Scand. J. Gastroenterol. 21, Suppl. 119, 1-274 (1986); on clinical evaluation in gastrointestinal endocrine tumors: Am. J. Med. 82, Suppl. 5B, 1-99 (1987).
 
Derivative Type: Acetate
CAS Registry Number: 79517-01-4
Manufacturers' Codes: SMS-201-995ac
Trademarks: Longastatin (Italfarmaco); Sandostatin (Novartis)
Line Formula: C49H66N10O10S2.xC2H4O2
Properties: [a]D20 -42° (c = 0.5 in 95% acetic acid).
Optical Rotation: [a]D20 -42° (c = 0.5 in 95% acetic acid)
 
Therap-Cat: Gastric antisecretory agent. Treatment of acromegaly.
Keywords: Gastric Secretion Inhibitor; Growth Hormone Antagonist/Inhibitor; Somatostatin Analog.

Other Monographs:
NifurfolineTolciclateAnilinephthalein2-Chloro-1,3-dinitrobenzene
1,2-EthanedithiolDosmalfateTetrahydrothiopheneVedejs Reagent
Isoamyl IsovalerateMethoxyethylbenzeneboronic AcidLentinanMosapride
α1-SitosterolFasidotrilEterobarbCloxotestosterone
©2006-2023 DrugFuture->Chemical Index Database