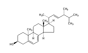
Pyrocalciferol
Structural Formula Vector Image
Title: Pyrocalciferol
CAS Registry Number: 128-27-8
CAS Name: (3b,10a,22E)-Ergosta-5,7,22-trien-3-ol
Additional Names: 9a-lumisterol; 9a-lumista-5,7,22-trien-3b-ol
Molecular Formula: C28H44O
Molecular Weight: 396.65
Percent Composition: C 84.78%, H 11.18%, O 4.03%
Literature References: Differs from ergosterol in the steric configuration at C-9 and C-10. Formation via isopyrocalciferol: Askew et al., Proc. Roy. Soc. London B109, 488 (1932); Windaus et al., Nachr. Ges. Wiss. Goettingen Math.-Phys. Kl. 1932, 150. Dehydrogenation with selenium gives Diel's hydrocarbon (3¢-methyl-1,2-cyclopentenophenanthrene). Fieser, Fieser, Steroids (New York, 1959) pp 136-143, argue the configuration at C-9 and C-10. See also Castells et al., J. Chem. Soc. 1959, 1159. Critical examination and comparison with other unnatural steroids: Castells et al., ibid. 1962, 2907.
Properties: Needles from methanol, mp 93-95°. [a]D20 +512°, [a]20546 +624° (c = 0.15 in alcohol). uv max: 274, 294 nm (Askew).
Melting point: mp 93-95°
Optical Rotation: [a]D20 +512°; [a]20546 +624° (c = 0.15 in alcohol)
Absorption maximum: uv max: 274, 294 nm (Askew)
 
Derivative Type: Acetate
Molecular Formula: C30H46O2
Molecular Weight: 438.69
Percent Composition: C 82.14%, H 10.57%, O 7.29%
Properties: mp 81-82°, [a]D +403° (chloroform).
Melting point: mp 81-82°
Optical Rotation: [a]D +403° (chloroform)
 
Derivative Type: 3,5-Dinitrobenzoate
Molecular Formula: C35H46N2O6
Molecular Weight: 590.75
Percent Composition: C 71.16%, H 7.85%, N 4.74%, O 16.25%
Properties: mp 168-170°. [a]D21 +195°, [a]20546 +249° (both c = 2 in chloroform).
Melting point: mp 168-170°
Optical Rotation: [a]D21 +195°; [a]20546 +249° (both c = 2 in chloroform)

Other Monographs:
EpicoccononeIberiotoxinInsulin-like Growth FactorsIsophthalic Acid
β-Benzalbutyramide4-(5-Isopropenyl-2-methyl-1-cyclopenten-1-yl)-2-butanoneMercuric OxycyanideCalixarenes
BenzoresorcinolDecalin®ProgabideAmmonium Sulfide Solution, Yellow
Penicillin FCecropinsPamiteplaseD-Lyxose
©2006-2023 DrugFuture->Chemical Index Database