Mitobronitol
Structural Formula Vector Image
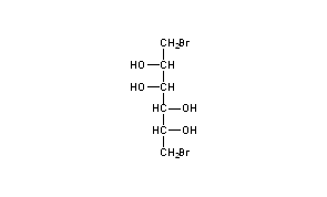
Title: Mitobronitol
CAS Registry Number: 488-41-5
CAS Name: 1,6-Dibromo-1,6-dideoxy-D-mannitol
Additional Names: 1,6-dideoxy-1,6-dibromo-D-mannitol; dibromomannitol; DBM
Trademarks: Myebrol (Kyorin); Myelobromol (Enzypharm)
Molecular Formula: C6H12Br2O4
Molecular Weight: 307.97
Percent Composition: C 23.40%, H 3.93%, Br 51.89%, O 20.78%
Literature References: Cytostatic agent; the first dibromohexitol introduced into clinical use. Manuf: GB 959407 (1964 to Chinoin). Pharmaco-biochemical studies: J. Szabo et al., Neoplasma 20, 13 (1973). Clinical studies: D. F. Chiuten et al., Cancer 47, 442 (1981). Comparative study with busulfan, q.v.: R. T. Silver et al., Cancer 60, 1442 (1987).
Properties: Crystals from methanol + dichloroethane, mp 176-178°.
Melting point: mp 176-178°
Therap-Cat: Antineoplastic.
Keywords: Antineoplastic; Alkylating Agents.

Other Monographs:
AmixetrineAmmonium Chromate(VI)1-Theobromineacetic AcidTheophylline
Flumedroxone Acetate2,5-Bis(1-aziridinyl)-3,6-bis(2-methoxyethoxy)-1,4-benzoquinoneMethanesulfonyl ChlorideLachesine
CanadineCephaloglycinMethacholine Chloride2-Mercaptobenzothiazole
Gold Sodium ThiomalatePeanutMeitneriumγ-Irone
©2006-2023 DrugFuture->Chemical Index Database