Milbemycin Oxime
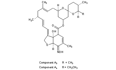
Structural Formula Vector Image
Title: Milbemycin Oxime
CAS Registry Number: 129496-10-2
Manufacturers' Codes: CGA-179246
Trademarks: Interceptor (Novartis)
Literature References: Mixture of milbemycin oximes containing ~80% milbemycin A4 5-oxime (C32H45NO7) and 20% milbemycin A3 5-oxime (C31H43NO7). Prepn: J. Ide et al., EP 110667; eidem, US 4547520 (1984, 1985 both to Sankyo). Anthelmintic activity in experimentally induced infections in dogs: D. D. Bowman et al., Am. J. Vet. Res. 49, 1986 (1988); D. D. Bowman et al., ibid. 52, 64 (1991); in cats: B. L. Blagburn et al., The OVMA Newsletter (February, 1990), 1; in naturally acquired infections in dogs: D. D. Bowman et al., Am. J. Vet. Res. 51, 487 (1990). Physical data and toxicity: Ciba-Geigy Material Data Safety Sheet.
Properties: Practically odorless white to pale yellow powder, mp 169.6-177.4°. pH of aqueous solution: 6.3. LD50 orally in mice: 1000-1500 mg/kg (Ciba-Geigy).
Melting point: mp 169.6-177.4°
Toxicity data: LD50 orally in mice: 1000-1500 mg/kg (Ciba-Geigy)
Therap-Cat-Vet: Anthelmintic.

Other Monographs:
2,3-Pyrazinedicarboxylic AcidOleuropeinTixocortolButazolamide
FlusilazoleOxolinic AcidGranulocyte-Macrophage Colony-Stimulating FactorDiamyl Sodium Sulfosuccinate
DauricineAcrylamideHydrogen PeroxideTrilostane
Acrilan®CellobioseCaliforniumMethylene Iodide
©2006-2023 DrugFuture->Chemical Index Database