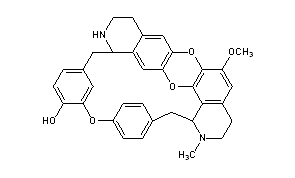
Micranthine
Structural Formula Vector Image
Title: Micranthine
CAS Registry Number: 36104-64-0
CAS Name: 6¢,7-Epoxy-6-methoxy-2-methyl-oxyacanthan-12¢-ol
Molecular Formula: C34H32N2O5
Molecular Weight: 548.63
Percent Composition: C 74.43%, H 5.88%, N 5.11%, O 14.58%
Literature References: Minor alkaloid from bark of Daphnandra micrantha (Tul.) Benth., Monimiaceae. Isoln: Pyman, J. Chem. Soc. 105, 1679 (1914). Structure: Bick, Todd, ibid. 1950, 1606. Revised structure and stereochemistry: Bick et al., Tetrahedron Lett. 1972, 33. Biogenesis: I. Ralph, C. Bick, Heterocycles 16, 2105 (1981).
Properties: Needles from ethyl acetate or methanol, mp 194-196°. [a]D22 -231° (c = 0.7 in chloroform). Sol in chloroform, ethanol; sparingly sol in methanol, ethyl acetate, benzene; practically insol in ether.
Melting point: mp 194-196°
Optical Rotation: [a]D22 -231° (c = 0.7 in chloroform)

Other Monographs:
Acetyl ChlorideEnniatinsOleyl AlcoholCeanothic Acid
Ferrous Carbonate SaccharatedAlkofanoneLumiflavineSodium Metabisulfite
Petroleum BenzinMeperidineCyclofenilAtomoxetine
Strontium PhosphateLindlar CatalystPlasmin9-Dicyanomethylene-2,4,7-trinitrofluorene
©2006-2023 DrugFuture->Chemical Index Database