L-Cystathionine
Structural Formula Vector Image
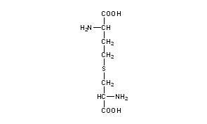
Title: L-Cystathionine
CAS Registry Number: 56-88-2
CAS Name: S-[(2R)-2-Amino-2-carboxyethyl]-L-homocysteine
Additional Names: L-2-amino-4-[(2-amino-2-carboxyethyl)thio]butyric acid
Molecular Formula: C7H14N2O4S
Molecular Weight: 222.26
Percent Composition: C 37.83%, H 6.35%, N 12.60%, O 28.79%, S 14.43%
Literature References: An amino acid whose homocysteine and serine moieties are both L in configuration. Intermediate in transsulfuration whereby the mammal transfers the sulfur of methionine via homocysteine to cysteine: Hope, Proc. 4th Int. Congr. Biochem. 13, 63 (1960). Preparation: du Vigneaud et al., J. Biol. Chem. 143, 59 (1942); Weiss, Stekol, J. Am. Chem. Soc. 73, 2497 (1951); Schöberl, Täuber, Ann. 599, 23 (1956). Isolation from human brain: Tallau et al., J. Biol. Chem. 230, 707 (1958). Abs config: G. Jung et al., Eur. J. Biochem. 35, 436 (1973); C.-S. Chen et al., Biochim. Biophys. Acta 538, 534 (1978). Review: J. P. Greenstein, M. Winitz, Chemistry of the Amino Acids vol. 3 (John Wiley, N. Y., 1961) p 2682.
Properties: Crystals (rectangular parallelepipeds), dec 312° (darkening at 270°). [a]D20 +23.7° (1N HCl).
Optical Rotation: [a]D20 +23.7° (1N HCl)

Other Monographs:
Potassium Aluminateβ-PicolinePotassium Borohydride2,3-Dibromopropene
D-Tartaric Acid5-DiazouracilMercuric Sodium p-PhenolsulfonateCuprous Selenide
HasubanonineFluindioneγ-OryzanolCarboprost
LeonurineErythromycin StearateBarium PermanganateInterleukin-1 Receptor Antagonist
©2006-2023 DrugFuture->Chemical Index Database