Amikacin
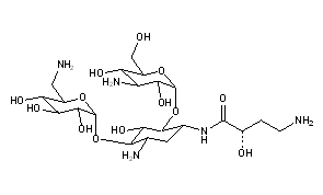
Structural Formula Vector Image
Title: Amikacin
CAS Registry Number: 37517-28-5
CAS Name: O-3-Amino-3-deoxy-a-D-glucopyranosyl-(1®6)-O-[6-amino-6-deoxy-a-D-glucopyranosyl-(1®4)]-N1-[(2S)-4-amino-2-hydroxy-1-oxobutyl]-2-deoxy-D-streptamine
Additional Names: 1-N-[L(-)-4-amino-2-hydroxybutyryl]kanamycin A
Molecular Formula: C22H43N5O13
Molecular Weight: 585.60
Percent Composition: C 45.12%, H 7.40%, N 11.96%, O 35.52%
Literature References: Semisynthetic aminoglycoside antibiotic derived from kanamycin A. Prepn: Kawaguchi et al., J. Antibiot. 25, 695 (1972); H. Kawaguchi, T. Naito, DE 2234315; H. Kawaguchi et al., US 3781268 (both 1973 to Bristol-Myers). Biological formation from kanamycin A: L. M. Cappelletti, R. Spagnoli, J. Antibiot. 36, 328 (1983). Microbiological evaluation: Price et al., ibid. 25, 709 (1972). Pharmacokinetics: Cabana, Taggart, Antimicrob. Agents Chemother. 3, 478 (1973). In vitro studies: Yu, Washington, ibid. 4, 133 (1973); Bodey, Stewart, ibid. 186. Pharmacology in humans: Bodey et al., ibid. 5, 508 (1974). Toxicity studies: Fujisawa et al., J. Antibiot. 27, 677 (1974). Review: K. A. Kerridge in Pharmacological and Biochemical Properties of Drug Substances vol. 1, M. E. Goldberg, Ed. (Am. Pharm. Assoc., Washington, DC, 1977) pp 125-153. Comprehensive description: P. M. Monteleone et al., Anal. Profiles Drug Subs. 12, 37-71 (1983).
Properties: White crystalline powder from methanol-isopropanol, mp 203-204° (sesquihydrate). [a]D23 +99° (c = 1.0 in water). LD50 in mice of solns pH 6.6, pH 7.4 (mg/kg): 340, 560 i.v. (Kawaguchi).
Melting point: mp 203-204° (sesquihydrate)
Optical Rotation: [a]D23 +99° (c = 1.0 in water)
Toxicity data: LD50 in mice of solns pH 6.6, pH 7.4 (mg/kg): 340, 560 i.v. (Kawaguchi)
 
Derivative Type: Sulfate
CAS Registry Number: 39831-55-5
Trademarks: Amiglyde-V (Fort Dodge); Amikin (BMS); Amiklin (BMS); BB-K8 (BMS); Biklin (BMS); Lukadin (San Carlo); Mikavir (Salus); Novamin (BMS); Pierami (Fournier)
Molecular Formula: C22H43N5O13.2H2SO4
Molecular Weight: 781.76
Percent Composition: C 33.80%, H 6.06%, N 8.96%, O 42.98%, S 8.20%
Properties: Amorphous form, dec 220-230°. [a]D22 +74.75° (water).
Optical Rotation: [a]D22 +74.75° (water)
 
Therap-Cat: Antibacterial.
Therap-Cat-Vet: Antibacterial.
Keywords: Antibacterial (Antibiotics); Aminoglycosides.

Other Monographs:
Chromic HydroxideN-NitrosomorpholineTriaziquoneCadralazine
IopamidolTetracaine HydrochloridePentetate Calcium TrisodiumGrubbs' Catalyst
Methohexital SodiumDicloxacillinHydrallostane3-Amino-4-hydroxybutyric Acid
Aluminum HypophosphiteLoxiglumideNeoquassinBulbocapnine
©2006-2023 DrugFuture->Chemical Index Database