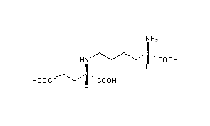
L-Saccharopine
Structural Formula Vector Image
Title: L-Saccharopine
CAS Registry Number: 997-68-2
CAS Name: N-(5-Amino-5-carboxypentyl)-L-glutamic acid
Additional Names: e-N-(L-glutar-2-yl)-L-lysine
Molecular Formula: C11H20N2O6
Molecular Weight: 276.29
Percent Composition: C 47.82%, H 7.30%, N 10.14%, O 34.74%
Literature References: A lysine precursor in the aminoadipic acid-lysine pathway in yeast: Darling, Larsen, Acta Chem. Scand. 15, 743 (1961); Kjaer, Larsen, ibid. 750; Kuo et al., Biochem. Biophys. Res. Commun. 8, 227 (1962); Trupin, Broquist, J. Biol. Chem. 240, 2524 (1965); Jones, Broquist, ibid. 241, 3430 sqq. (1966). Isoln from mycelium of the yeast Candida utilis: Marimoto, Yamano, Biochem. Z. 340, 155 (1964).
Properties: Hydrated crystals; loses water of crystn over P2O5 at 100°. Dec 240-248°, when anhydr. [a]D23 +33.6° (c = 1 in 0.5N HCl); [M]D +93°. pK2 2.6; pK3 4.1; pK4 9.2; pK5 10.3. Sparingly sol in water, ethanol. Readily sol in alkaline solns and in strong acids.
pKa: pK2 2.6; pK3 4.1; pK4 9.2; pK5 10.3
Optical Rotation: [a]D23 +33.6° (c = 1 in 0.5N HCl)

Other Monographs:
tert-Amyl IsovalerateSodium DodecylbenzenesulfonateCupric FluorideMoxonidine
p-NitrosodiphenylamineAjugarinsTocainideFluosilicic Acid
Menthyl BorateAcerinOstrutholFluquinconazole
N-BromoacetamideCaroxazoneDiazolidinyl UreaEthyl Tartrate, Acid
©2006-2023 DrugFuture->Chemical Index Database