Hopantenic Acid
Structural Formula Vector Image
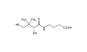
Title: Hopantenic Acid
CAS Registry Number: 18679-90-8
CAS Name: 4-[[(2R)-2,4-Dihydroxy-3,3-dimethyl-1-oxobutyl]amino]butanoic acid
Additional Names: D-(+)-4-(2,4-dihydroxy-3,3-dimethylbutyramido)butyric acid; D-homopantothenic acid
Molecular Formula: C10H19NO5
Molecular Weight: 233.26
Percent Composition: C 51.49%, H 8.21%, N 6.00%, O 34.30%
Literature References: Homolog of pantothenic acid, q.v. Prepn: R. Fuerst, L. L. Li, Biochim. Biophys. Acta 86, 26 (1964); C. M. DeSha, R. Fuerst, ibid. 33. Prepn of the calcium salt: Y. Nishizawa et al., JP 66 732 (1966 to Tanabe), C.A. 64, 12555c (1965). Series of articles on analysis, physicochemical properties, electrophysiology, pharmacology, toxicity studies, teratology: Bitamin 33, 603-632 (1966), C.A. 65, 5949a-g (1966). Colorimetric determn, properties: T. Kodama et al., J. Vitaminol. 13, 298 (1967), C.A. 68, 62755n (1968). Peri- and postnatal studies in rats: Y. Asano et al., Oyo Yakuri 19, 1011 (1980), C.A. 94, 58160 (1981). Mechanism of action: V. M. Arakumov, M. A. Kovler, Farmakol. Toksikol. 44, 30 (1981), C.A. 94, 114577 (1981). Determn in plasma: Y. Umeno et al., J. Chromatogr. 226, 333 (1981). Toxicology studies: Y. Nishizawa et al., J. Vitaminol. 15, 26 (1969). Pharmacology and acute toxicity study: Y. Nishizawa, Med. J. Osaka Univ. 35, 41 (1984).
Properties: Sol in water; stable at pH 5-6. [a]D20 +23.8°. pKa 4.52 at 25°. LD50 in male, female mice, male, female rats (mg/kg): 850, 954, 1575, 1458 i.p.; 2063, 2495, 5940, 7348 s.c.; 6297, 7935, 16810, 13350 orally (Nishizawa).
pKa: pKa 4.52 at 25°
Optical Rotation: [a]D20 +23.8°
Toxicity data: LD50 in male, female mice, male, female rats (mg/kg): 850, 954, 1575, 1458 i.p.; 2063, 2495, 5940, 7348 s.c.; 6297, 7935, 16810, 13350 orally (Nishizawa)
 
Derivative Type: Calcium salt hemihydrate
Additional Names: Calcium homopantothenate; hopantenate calcium; pantogam
Trademarks: Hopate (Tanabe)
Molecular Formula: C20H36CaNO5.½H2O
Molecular Weight: 419.59
Percent Composition: C 57.25%, H 8.89%, Ca 9.55%, N 3.34%, O 20.97%
Properties: White powder, mp 155-165°. [a]D20 +24.19° (c = 2 in water). Bitter taste. Sol in water, slightly sol in methanol. Practically insol in organic solvents. Stable at pH 5-6.
Melting point: mp 155-165°
Optical Rotation: [a]D20 +24.19° (c = 2 in water)
 
Therap-Cat: Cerebral activator.

Other Monographs:
IsopilosineSpandexNorgesteroneDiacetylmorphine
ClopidogrelTaxicinsFusaric AcidAmmonium Bisulfite
Amrinone2,5-Bis(1-aziridinyl)-3,6-bis(2-methoxyethoxy)-1,4-benzoquinoneMagaininsImazethapyr
Glucagon-Like PeptidesCuprous Bromidesym-Dichloroethyl EtherDiethazine
©2006-2023 DrugFuture->Chemical Index Database