Escin
Structural Formula Vector Image
Title: Escin
CAS Registry Number: 6805-41-0
Additional Names: Aescin
Trademarks: Reparil (Madaus)
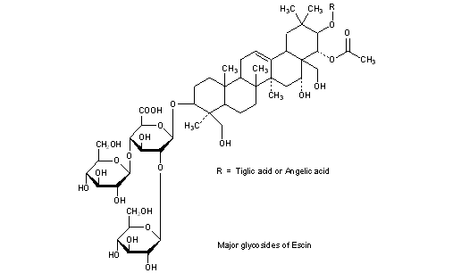
Literature References: A mixture of saponins occurring in the seed of the horse chestnut tree, Aesculus hippocastanum L., Hippocastanaceae: Winterstein, Z. Physiol. Chem. 199, 25 (1931); Steiner, Holtzem in Paech-Tracey, Moderne Methoden der Pflanzenanalyse III (Springer-Verlag, 1955) p 117. Isoln by chromatography and purification: Fiedler, Arzneim.-Forsch. 4, 213 (1953); using ion-exchange resins: Erbring et al., US 3238190 (1966 to Madaus). Previously thought to be built up from the aglycon escigenin, glucuronic acid, glucose and xylose: Jermstadt, Waaler, Pharm. Acta Helv. 28, 265 (1953); Patt, Winkler, Arzneim.-Forsch. 10, 273 (1960); Tschesche et al., Ann. 669, 171 (1963). Structural studies indicate that the two major glycosides in the mixture are built up from the aglycon, protoescigenin, which is acylated at C-22 by acetic acid, and from the sugar moiety, glucuronic acid and two D-glucose molecules. The two aglycons differ only at the C-21 position which is acylated by either angelic acid or tiglic acid, q.q.v. Structure and stereochemistry: Wulff, Tschesche, Tetrahedron 25, 415 (1969); Wagner et al., Arzneim.-Forsch. 20, 205 (1970); eidem, Z. Physiol. Chem. 351, 1133 (1970). Early work identified two forms, a-escin and b-escin: Wagner, Basse, ibid. 320, 27 (1960). Identity of prosaponin B with b-escin: Voigtlander, Rosenberg, Arzneim.-Forsch. 13, 385 (1963). b-Escin is the natural form and can be converted to a-escin: Wagner, Schlemmer, US 3450691 (1969 to Klinge); Wagner et al., Arzneimittel-Forsch., loc. cit. Pharmacology: H. Hampel et al., ibid. 20, 209 (1970); Lang, Mennicke, ibid. 22, 1928 (1972). Review: Tschesche, Wulff in Fortschr. Chem. Org. Naturst. 30, 461-606 (1973). Review of pharmacology and clinical experience: C. R. Sirtori, Pharmacolog. Res. 44, 183-193 (2001).
 
Derivative Type: a-Escin
CAS Registry Number: 66795-86-6
Properties: Amorphous powder, mp 225-227°. [a]D25 -13.5° (c = 5 in methanol). Very sol in water. Hemolytic index: 1:20,000. LD50 in mice, rats, guinea pigs (mg/kg): 3.2, 5.4, 15.2 i.v.; 320, 720, 475 orally (Hampel).
Melting point: mp 225-227°
Optical Rotation: [a]D25 -13.5° (c = 5 in methanol)
Toxicity data: LD50 in mice, rats, guinea pigs (mg/kg): 3.2, 5.4, 15.2 i.v.; 320, 720, 475 orally (Hampel)
 
Derivative Type: Sodium salt
Properties: mp 251-252°.
Melting point: mp 251-252°
 
Derivative Type: b-Escin
CAS Registry Number: 11072-93-8
Trademarks: Flogencyl (Expanpharm)
Properties: Leaflets from dil ethanol, mp 222-223°. [a]D27 -23.7° (c = 5 in methanol). Practically insol in water. Hemolytic index: 1:40,000. LD50 in mice, rats, guinea pigs (mg/kg): 1.4, 2.0, 7.2 i.v.; 134, 400, 188 orally (Hampel).
Melting point: mp 222-223°
Optical Rotation: [a]D27 -23.7° (c = 5 in methanol)
Toxicity data: LD50 in mice, rats, guinea pigs (mg/kg): 1.4, 2.0, 7.2 i.v.; 134, 400, 188 orally (Hampel)
 
Therap-Cat: In treatment of peripheral vascular disorders.
Keywords: Vasoprotectant.

Other Monographs:
Potassium FormateAvidinMeropenemSodium Iodide, Radioactive
2-EthoxyethanolFluazinam2-Pyrazoline10,10'-Oxydiphenoxarsine
KalkitoxinBilirubinAzadirachtinMetoclopramide
Potassium Tetracyanoplatinate(II)LormetazepamRaffinosePotassium Titanyl Oxalate
©2006-2023 DrugFuture->Chemical Index Database