Phytofluene
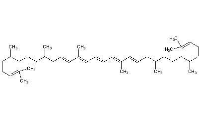
Structural Formula Vector Image
Title: Phytofluene
CAS Registry Number: 540-05-6
CAS Name: 7,7¢,8,8¢,11,12-Hexahydro-y,y-carotene
Additional Names: 5,6,7,8,9,10,10¢,9¢,8¢,7¢,6¢,5¢-dodecahydrolycopene; all-trans-phytofluene
Molecular Formula: C40H68
Molecular Weight: 548.97
Percent Composition: C 87.51%, H 12.49%
Literature References: Polyene hydrocarbon widespread in the vegetable kingdom where it has been observed in chlorophyll-free tissues which contain considerable amounts of carotenoid pigments. Extracted from Diospyros kaki L.f., Ebenaceae, Arbutus unedo L., Ericaceae, Pyracantha angustifolia (Franch.) Schneid., Rosaceae, and tomatoes: Zechmeister, Sandonal, J. Am. Chem. Soc. 68, 197 (1946); Wallace, Porter, Arch. Biochem. Biophys. 36, 468 (1952); from the basidiomycete, Dacromyces stillatus: Goodwin, Biochem. J. 53, 538 (1953). Structure: Porter, Lincoln, Arch. Biochem. Biophys. 27, 390 (1950); Zechmeister, Experientia 10, 1 (1954).
Properties: Pale orange, viscous oil which solidifies upon cooling, forming a glassy mass without apparent crystal structure. bp0.0001 140-185° (bath temp). uv max (petr ether): 367, 348, 332 nm. Freely sol in petr ether, ether, benzene. Practically insol in water, methanol, ethanol. Strong green fluorescence in ultraviolet spectra.
Boiling point: bp0.0001 140-185° (bath temp)
Absorption maximum: uv max (petr ether): 367, 348, 332 nm

Other Monographs:
Sulthiameo-Phenanthroline2,3-Pyrazinedicarboxylic AcidGuggulsterone
Allopregnane-3β,17α,20β,21-tetrolCalcium CarbonateBemegrideMethoprene
DorzolamidePhorbolRasburicaseAmmonium Pentachlorozincate
Tellurium DibromideAlminoprofenEthylene OxideHeparin
©2006-2023 DrugFuture->Chemical Index Database