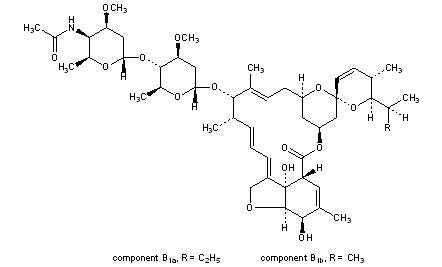
Eprinomectin
Structural Formula Vector Image
Title: Eprinomectin
CAS Registry Number: 123997-26-2
CAS Name: (4¢¢R)-4¢¢-(Acetylamino)-4¢¢-deoxyavermectin B1
Manufacturers' Codes: MK-397
Trademarks: Eprinex (Merck & Co.)
Literature References: Mixture of semisynthetic avermectins, q.v.; containing 90% or more of component B1a and 10% or less of component B1b. Prepn: H. H. Mrozik, US 4427663 (1984 to Merck & Co.). Synthesis: R. J. Cvetovich et al., J. Org. Chem. 59, 7704 (1994) and biological activity: T. K. Jones et al., J. Agric. Food Chem. 42, 1786 (1994). Mechanism of action study: J. P. Arena et al., J. Parasitol. 81, 286 (1995).
Properties: Crystalline solid, mp 163.3-165.7°. LD50 orally in mice: 24 mg/kg (Jones).
Melting point: mp 163.3-165.7°
Toxicity data: LD50 orally in mice: 24 mg/kg (Jones)
 
Derivative Type: Component B1a
CAS Registry Number: 133305-88-1
CAS Name: (4¢¢R)-4¢¢-(Acetylamino)-5-O-demethyl-4¢¢-deoxyavermectin A1a
Molecular Formula: C50H75NO14
Molecular Weight: 914.13
Percent Composition: C 65.69%, H 8.27%, N 1.53%, O 24.50%
 
Derivative Type: Component B1b
CAS Registry Number: 133305-89-2
CAS Name: (4¢¢R)-4¢¢-(Acetylamino)-5-O-demethyl-25-de(1-methylpropyl)-4¢¢-deoxy-25-(1-methylethyl)avermectin A1a
Molecular Formula: C49H73NO14
Molecular Weight: 900.10
Percent Composition: C 65.38%, H 8.17%, N 1.56%, O 24.89%
 
Therap-Cat-Vet: Antiparasitic.

Other Monographs:
Magnesium Carbonate HydroxideAcetone CyanohydrinAsiaticosideIsofezolac
Sodium Ferric GluconateCorynantheineMeldrum's Acidη-Tocopherol
Sodium MethylsulfinylmethylideChamazuleneMagnesium CitrateDihydroequilin
TetrahydrocannabinolsAmmonium Magnesium ChlorideCastaneaSodium Hypophosphite
©2006-2023 DrugFuture->Chemical Index Database