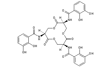
Enterobactin
Structural Formula Vector Image
Title: Enterobactin
CAS Registry Number: 28384-96-5
CAS Name: N,N¢,N¢¢-(2,6,10-Trioxo-1,5,9-trioxacyclododecane-3,7,11-triyl)tris[2,3-dihydroxy]benzamide
Additional Names: N,N¢,N¢¢-(2,6,10-trioxo-1,5,9-trioxacyclododecane-3,7,11-triyl)tris-o-pyrocatechuamide; enterochelin
Molecular Formula: C30H27N3O15
Molecular Weight: 669.55
Percent Composition: C 53.82%, H 4.06%, N 6.28%, O 35.84%
Literature References: Physiologically active macrocyclic iron sequestering agent of the phenolate type, involved in microbial transport and metabolism of iron; it is overproduced by E. coli and related enteric bacteria under low-iron stress. Isoln from culture medium of Salmonella typhimurium LT2 and structure: J. R. Pollack, J. B. Neilands, Biochem. Biophys. Res. Commun. 38, 989 (1970); also produced by Escherichia coli and Aerobacter aerogenes: I. G. O'Brien, F. Gibson, Biochim. Biophys. Acta 215, 393 (1970). Conformation: M. Leinás et al., Biochemistry 12, 3836 (1973). Total synthesis: E. J. Corey, S. Bhattacharyya, Tetrahedron Lett. 1977, 3919. Synthesis of enterobactin and enantioenterobactin: W. H. Rastetter et al., J. Org. Chem. 45, 5011 (1980); 46, 3579 (1981). Biosynthetic study: J. R. Pollack et al., J. Bacteriol. 104, 635 (1970). Stability constants and electrochemical behavior of ferric enterobactin: K. N. Raymond, J. Am. Chem. Soc. 101, 6097 (1979). Kinetics and mechanism of iron removal from transferrin: C. J. Carrano et al., ibid. 5401. Review: J. B. Neilands in Inorg. Biochem. 1, G. Eichorn, Ed. (Elsevier, New York, 1973) pp 167-202; idem, Bioinorg. Chem. II, K. N. Raymond, Ed. (A.C.S., Washington, 1977) pp 3-33.
Properties: Crystals from ethanol/water, mp 202-203°. [a]D25 +7.40° (ethanol). uv max (ethyl acetate): 316 nm (e 9390). Sol in acetone, dioxane, dimethyl sulfoxide, methanol. Practically insol in water, soly increases at pH 7 to 8. Neutral on paper electrophoresis at pH 5. Displays bright blue fluorescence under uv light.
Melting point: mp 202-203°
Optical Rotation: [a]D25 +7.40° (ethanol)
Absorption maximum: uv max (ethyl acetate): 316 nm (e 9390)
 
Derivative Type: Ferric enterobactin
Molecular Formula: [C30H21FeN3O15]3-
Properties: Anionic complex of enterobactin. uv max: 495 nm (e 5600).
Absorption maximum: uv max: 495 nm (e 5600)
 
Use: As a growth-promoting agent in various organisms.

Other Monographs:
Reductic Acid1-Amino-2-naphthol-6-sulfonic AcidSulfasomizoleN-Glycylglycine
OuabageninBenzylideneanilineFisetinUrethan
o-NitrophenolGum BenzoinRitodrine1,1-Dichloro-2,2-bis(p-chlorophenyl)ethane
L-Isoglutamine7-Aminocephalosporanic AcidFluoroformClobenfurol
©2006-2023 DrugFuture->Chemical Index Database