Dexpanthenol
Structural Formula Vector Image
Title: Dexpanthenol
CAS Registry Number: 81-13-0
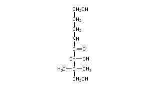
CAS Name: 2,4-Dihydroxy-N-(3-hydroxypropyl)-3,3-dimethylbutanamide
Additional Names: D(+)-a,g-dihydroxy-N-(3-hydroxypropyl)-b,b-dimethylbutyramide; pantothenylol; N-pantoyl-3-propanolamine; pantothenol; pantothenyl alcohol
Trademarks: Alcopan-250; Intrapan (USV); Pantenyl (Kay); Panthoderm (USV); Motilyn (Abbott); Bepanthen (Roche); Cozyme (Travenol); Ilopan (Warren-Teed); Urupan (Merckle)
Molecular Formula: C9H19NO4
Molecular Weight: 205.25
Percent Composition: C 52.67%, H 9.33%, N 6.82%, O 31.18%
Literature References: Prepd by the addition of propanolamine to optically active a,g-dihydroxy-b,b-dimethylbutyrolactone: Schnider, Jubilee Vol. Emil Barell 1946, 85; CH 227706 (1943); GB 582156 (1946); US 2413077 (1946 to Hoffmann-La Roche). Only the D(+)-form has vitamin activity.
Properties: Viscous, somewhat hygroscopic liq. Slightly bitter taste. d2020 1.2. bp0.02 118-120°. Easily dec on distn. [a]D20 +29.5° (c = 5). nD20 1.497. Freely sol in water, alcohol, methanol. Slightly sol in ether. Natural pH about 9.5. Reasonably stable to usual sterilization time and temp in aq solns adjusted to pH 3.0-4.0, but long heating causes racemization. Hydrolyzed by alkali and strong acid. Usually more stable than salts of pantothenic acid if pH can be adjusted between 3 and 5. For add'l stability data see Rubin, J. Am. Pharm. Assoc. Sci. Ed. 37, 502 (1948). Aq solns can be stabilized with pantolactone: US 2898373 (1959).
Boiling point: bp0.02 118-120°
Optical Rotation: [a]D20 +29.5° (c = 5)
Index of refraction: nD20 1.497
Density: d2020 1.2
 
Derivative Type: dl-Form
Additional Names: Panthenol
 
Therap-Cat: Cholinergic; dl-form as vitamin.
Therap-Cat-Vet: Nutritional factor. Dietary source of pantothenic acid.
Keywords: Cholinergic; Enzyme Cofactor; Vitamin/Vitamin Source; Vitamin B5.

Other Monographs:
Strontium HydroxideBelataceptCeftibutenDiisopropylamine Dichloroacetate
Benzoxonium ChlorideTropenzileFlavoneRibostamycin
Diethylene GlycolPhenylselenotrimethylsilanePerindoprilFormaldehyde
Beryllium BorohydrideSodium ThiocarbonateDisul-sodiumo-Cresolphthalein
©2006-2023 DrugFuture->Chemical Index Database