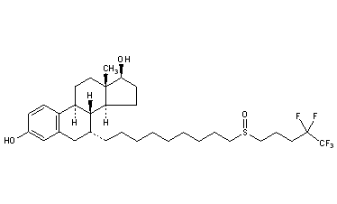
Fulvestrant
Structural Formula Vector Image
Title: Fulvestrant
CAS Registry Number: 129453-61-8
CAS Name: (7a,17b)-7-[9-[(4,4,5,5,5-Pentafluoropentyl)sulfinyl]nonyl]estra-1,3,5(10)-triene-3,17-diol
Manufacturers' Codes: ICI-182780
Trademarks: Faslodex (AstraZeneca)
Molecular Formula: C32H47F5O3S
Molecular Weight: 606.77
Percent Composition: C 63.34%, H 7.81%, F 15.66%, O 7.91%, S 5.28%
Literature References: Novel steroidal estrogen antagonist reported to lack any partial agonist activity. Prepn: J. Bowler, B. S. Tait, EP 138504; eidem, US 4659516 (1985, 1987 both to ICI). Pharmacology: A. E. Wakeling et al., Cancer Res. 51, 3867 (1991). Clinical pharmacokinetics: A. Howell et al., Br. J. Cancer 74, 300 (1996). Clinical evaluation in breast cancer vs tamoxifen: J. F. Robertson et al., Cancer Res. 61, 6739 (2001). Clinical trial in advanced breast cancer: J. N. Ingle et al., J. Clin. Oncol. 24, 1052 (2006). Review of mechanism of action and clinical evaluation: idem, Br. J. Cancer 85, Suppl. 2, 11-14 (2001); A. Howell, Crit. Rev. Oncol. Hematol. 57, 265-273 (2006); of tolerability profile: I. Vergote, P. Abram, Ann. Oncol. 17, 200-204 (2006).
Therap-Cat: Antineoplastic (hormonal).
Keywords: Antineoplastic (Hormonal); Antiestrogens.

Other Monographs:
Allocupreide SodiumHexanitrohexaazaisowurtzitaneEnoximoneTribromo-tert-butyl Alcohol
Skatolep-BromophenylhydrazineCinacalcetParaherquamide
Sodium PyroantimonateRhenium Trioxide4-SalicyloylmorpholineFenazaquin
Benzalkonium ChlorideMezereumApalcillinDesomorphine
©2006-2023 DrugFuture->Chemical Index Database