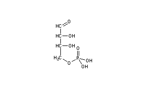
D-Erythrose 4-Phosphate
Structural Formula Vector Image
Title: D-Erythrose 4-Phosphate
CAS Registry Number: 585-18-2
CAS Name: (2R,3R)-2,3-Dihydroxy-4-(phosphonooxy)butanal
Additional Names: 4-D-erythrosephosphoric acid
Molecular Formula: C4H9O7P
Molecular Weight: 200.08
Percent Composition: C 24.01%, H 4.53%, O 55.98%, P 15.48%
Literature References: Occurs in minute amounts in muscle flesh of all animals. Important natural intermediate in the Embden-Meyerhof scheme of alcoholic fermentation and glycolysis. Prepn by chemical synthesis: Ballou et al., J. Am. Chem. Soc. 77, 2658, 5967 (1955). Outline: Chem. Eng. News 34, 2506 (1956).
Properties: Obtained in aq soln only. Shows no observable optical rotation. Is condensed with phosphoenolpyruvate by a cell-free extract from an E. coli mutant to give a 90% yield. Best stored and transported as the cyclohexylammonium salt of 4-phosphoryl-D-erythrose dimethyl acetal from which it can be prepared readily when needed.

Other Monographs:
Potassium AluminateDimethoatep-AminoacetanilideOxapropanium Iodide
Indium PhosphideLactitolα,α,β-Trichloro-n-butyraldehydeNitrogen Pentoxide
VicineTetraphenylphosphoniumDimethylacetalAfloqualone
Selenium HexafluorideLipaseStrontium SulfideSodium Phenolsulfonate
©2006-2023 DrugFuture->Chemical Index Database