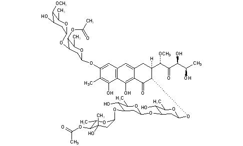
Chromomycin A3
Structural Formula Vector Image
Title: Chromomycin A3
CAS Registry Number: 7059-24-7
CAS Name: (1S)-1-C-[(2S,3S)-7-[[4-O-Acetyl-2,6-dideoxy-3-O-(2,6-dideoxy-4-O-methyl-a-D-lyxo-hexopyranosyl)-b-D-lyxo-hexopyranosyl]oxy]-3-[[O-4-O-acetyl-2,6-dideoxy-3-C-methyl-a-L-arabino-hexopyranosyl-(1®3)-O-2,6-dideoxy-b-D-arabino-hexopyranosyl-(1®3)-2,6-dideoxy-b-D-arabino-hexopyranosyl]oxy]-1,2,3,4-tetrahydro-5,10-dihydroxy-6-methyl-4-oxo-2-anthracenyl]-5-deoxy-1-O-methyl-D-threo-2-pentulose
Additional Names: 3D-O-(4-O-acetyl-2,6-dideoxy-3-C-methyl-a-L-arabino-hexopyranosyl)-7-methylolivomycin D; aburamycin B; toyomycin
Molecular Formula: C57H82O26
Molecular Weight: 1183.25
Percent Composition: C 57.86%, H 6.99%, O 35.16%
Literature References: Major component of an antitumor antibiotic complex produced by Streptomyces griseus. Binds specifically to guanine-cytosine base pairs in DNA; does not intercalate. The aglycone, chromomycinone, is identical to that of plicamycin, q.v. Isoln of complex and antibacterial activity: M. Shibata et al., J. Antibiot. 13B, 1 (1960), C.A. 54, 22835g (1960). Characterization: K. Mizuno, J. Antibiot. 16A, 22 (1963). Structure: M. Miyamoto et al., Tetrahedron 23, 421 (1967). Abs config: N. Harada et al., J. Am. Chem. Soc. 91, 5896 (1969). Revised structure: J. Thiem, B. Meyer, J. Chem. Soc. Perkin Trans. 2 1979, 1331. Pharmacology and toxicity: M. Slavik, S. K. Carter, Adv. Pharmacol. Chemother. 12, 1 (1975). Fluorescence characteristics: R. H. Jensen, J. Histochem. Cytochem. 25, 573 (1977). Use for analysis and identification of chromosomes: J. H. van de Sande et al., Science 195, 400 (1977); in high-speed chromosome sorting: J. W. Gray et al., ibid. 238, 323 (1987); in flow karyotyping: M. F. Bartholdi, Pathobiology 58, 118 (1990). Review of staining methods: H. A. Crissman, R. A. Tobey, Methods Cell Biol. 33, 97-103 (1990).
Properties: Yellow powder, dec. 185°. [a]D23 -57° (ethanol). uv max (ethanol): 230, 281, 304, 318, 330, 412 nm (log e 4.39, 4.72, 3.85, 3.92, 3.84, 4.07). Excitation max: ~445 nm. Emission max: ~575 nm. Sol in ethanol, ethyl acetate, DMSO, methanol. LD50 in mice (mg/kg): 1.85 i.v. (Slavik, Carter). Protect from light.
Optical Rotation: [a]D23 -57° (ethanol)
Absorption maximum: uv max (ethanol): 230, 281, 304, 318, 330, 412 nm (log e 4.39, 4.72, 3.85, 3.92, 3.84, 4.07)
Toxicity data: Excitation max: ~445 nm. Emission max: ~575 nm. Sol in ethanol, ethyl acetate, DMSO, methanol. LD50 in mice (mg/kg): 1.85 i.v. (Slavik, Carter).
Use: Fluorescent DNA stain in flow cytometry and karyotype analysis of chromosomes.

Other Monographs:
Cupric HexafluorosilicateN-2-FluorenylacetamideZinc PermanganateSuet, Prepared
NialamidePropargyl ChlorideTylophorineIndenolol
3-(o-Methoxyphenyl)-2-phenylacrylic AcidLinoleic AcidTylosinPolonium
p-(2-Methylpropenyl)phenol AcetateCoumarinPirlimycinTrinexapac-ethyl
©2006-2023 DrugFuture->Chemical Index Database