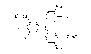
Acid Fuchsin
Structural Formula Vector Image
Title: Acid Fuchsin
CAS Registry Number: 3244-88-0
CAS Name: 2-Amino-5-[(4-amino-3-sulfophenyl)(4-imino-3-sulfo-2,5-cyclohexadien-1-ylidene)methyl]-3-methylbenzenesulfonic acid disodium salt
Additional Names: C.I. Acid Violet 19; 2-amino-a5-(4-amino-3-sulfophenyl)-a5-(4-imino-3-sulfo-2,5-cyclohexadien-1-ylidene)-3,5-xylenesulfonic acid disodium salt; acid rubin; fuchsin(e) acid; acid roseine; C.I. 42685
Molecular Formula: C20H17N3Na2O9S3
Molecular Weight: 585.54
Percent Composition: C 41.02%, H 2.93%, N 7.18%, Na 7.85%, O 24.59%, S 16.43%
Literature References: The trisulfonated derivative of rosanilin, or pararosanilin. See: Colour Index vol. 4 (3rd ed., 1971) p 4399. Use as stain: P. W. Benoit, Stain Technol. 48, 177 (1973); E. Hals, Scand. J. Dent. Res. 85, 542 (1977). Mechanism of action: L. F. Nielsen et al., Biotech. Histochem. 73, 71(1998). Brief review: H. J. Conn's Biological Stains, R. D. Lillie, Ed. (Williams & Wilkins, Baltimore, 9th ed., 1977) pp 285-286.
Properties: Olive to dark olive-green coarse powder. Absorption max: 540-545 nm (10 mg/l of 0.01% HCl). Very sol in water, very slightly sol to insol in alcohol. Dil aq solns are purplish red. Very dil aq solns (1:10,000) are decolorized by drops of concd aq NaOH solns, but not returned by concd HCl. The decolorized soln neutralized with NaOH is called the Andrade indicator. Changes from red to colorless at pH 12-14.
Absorption maximum: Absorption max: 540-545 nm (10 mg/l of 0.01% HCl)
Use: As pH indicator; biological stain.

Other Monographs:
Calcium ArsenateNiclosamideCitrinino-(p-Anisoyl)benzoic Acid
N-(p-Methoxyphenyl)-p-phenylenediamineCalcium Phosphate, TribasicChlorine MonoxideAcid α-Glucosidase
Aluminum Hexaurea Sulfate Triiodide9-Dicyanomethylene-2,4,7-trinitrofluorenePentachlorophenolPhosphotungstic Acid
Bis(pinacolato)diboraneChloranilic AcidStreptolydiginParaoxon
©2006-2023 DrugFuture->Chemical Index Database