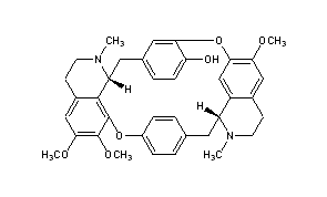
Chondrofoline
Structural Formula Vector Image
Title: Chondrofoline
CAS Registry Number: 31944-97-5
CAS Name: (1b)-6,6¢,7¢-Trimethoxy-2,2¢-dimethyltubocuraran-12¢-ol
Additional Names: (R,R)-7-O-methylbebeerine; 7-O-methylcurine
Molecular Formula: C37H40N2O6
Molecular Weight: 608.72
Percent Composition: C 73.00%, H 6.62%, N 4.60%, O 15.77%
Literature References: Alkaloid isolated from the leaves of Chondrodendron platyphyllum (A. St. Hil.) Miers, Menispermaceae: King, J. Chem. Soc. 1940, 737. Structure, stereochemistry, NMR and mass spectrum: Baldas et al., Chem. Commun. 1971, 132. 13C-NMR: L. Koike et al., J. Org. Chem. 46, 2385 (1981).
Properties: Solvated plates from methanol, mp about 135°. [a]205461 -281° (0.1N HCl).
Melting point: mp about 135°
Optical Rotation: [a]205461 -281° (0.1N HCl)
 
Derivative Type: Nitrate hydrate
Molecular Formula: C37H40N2O6.2HNO3.H2O
Molecular Weight: 752.76
Percent Composition: C 59.04%, H 5.89%, N 7.44%, O 27.63%
Properties: Needles from water, dec 225°.

Other Monographs:
Sodium ArsanilateEdatrexateAminopentamideOctyl Salicylate
Indium PhosphideCetylpyridinium ChlorideNapelline1,2-Ethanedithiol
ViscoseChloral AlcoholatePhenethyl IsothiocyanateSafflower Oil
Potassium ChloridePrussian BlueTraumatic AcidDidemnins
©2006-2023 DrugFuture->Chemical Index Database