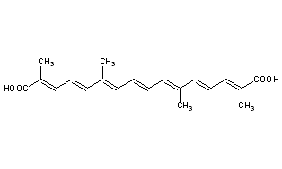
Crocetin
Structural Formula Vector Image
Title: Crocetin
CAS Registry Number: 27876-94-4
CAS Name: 8,8¢-Diapo-y,y-carotenedioic acid
Additional Names: trans-crocetin
Molecular Formula: C20H24O4
Molecular Weight: 328.40
Percent Composition: C 73.15%, H 7.37%, O 19.49%
Literature References: Carotenoid-dicarboxylic acid isolated from Crocus sativus L.; C. albiflorus var. neapolitanus Hort.; C. luteus Lam., Iridaceae. Extraction procedure and structure: Jucker, Karrer, Carotinoide (Basel, 1948) p 282.
Properties: Brick-red rhombs from acetic anhydride, mp 285°. Absorption max (pyridine): 464, 436, 411 nm. Sol in pyridine, in very dil NaOH solns. Very sparingly sol in water, and in the usual organic solvents except pyridine and similar organic bases. Forms a solid dipyridyl salt.
Melting point: mp 285°
Absorption maximum: Absorption max (pyridine): 464, 436, 411 nm
 
Derivative Type: Dimethyl ester
Molecular Formula: C22H28O4
Molecular Weight: 356.46
Percent Composition: C 74.13%, H 7.92%, O 17.95%
Properties: Brick-red elongated leaflets, mp 222.5°. Total synthesis: Buchta, Andree, Naturwissenschaften 46, 74 (1959).
Melting point: mp 222.5°
 
Derivative Type: Di-gentiobiose ester
CAS Registry Number: 42553-65-1
CAS Name: Crocin
Molecular Formula: C44H64O24
Molecular Weight: 976.96
Percent Composition: C 54.09%, H 6.60%, O 39.30%
Literature References: One of the yellow-red pigments of saffron. Isoln and structure: Karrer, Salomon, Helv. Chim. Acta 10, 397 (1927); 11, 513, 711 (1928); Karrer et al., ibid. 12, 985 (1929); 13, 392 (1930); Kuhn, Winterstein, Ber. 67, 344 (1934); Reichstein, Angew. Chem. 74, 887 (1962).
Properties: Hydrated brownish-red needles from methanol, mp 186° (effervescence). Absorption max (methanol): 464, 434 nm. Freely sol in hot water giving an orange-colored soln. Sparingly sol in abs alcohol, ether, other organic solvents.
Melting point: mp 186° (effervescence)
Absorption maximum: Absorption max (methanol): 464, 434 nm

Other Monographs:
Fluoroacetic AcidSennosidesHydrogen FluoridePotassium Hexafluorozirconate(IV)
Fluorine Nitrate4,4'-DifluorodiphenylQuetiapineSozoiodolic Acid
Dipropylene Glycol Monomethyl EtherPipamazineCetyldimethylethylammonium BromideMefexamide
PericyazinePifarnineBroxuridineTris(pentafluorophenyl)boron
©2006-2023 DrugFuture->Chemical Index Database