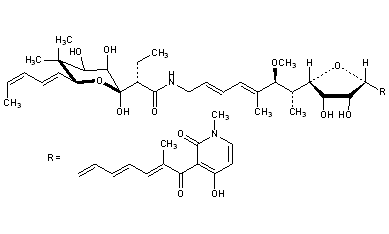
Aurodox
Structural Formula Vector Image
Title: Aurodox
CAS Registry Number: 12704-90-4
CAS Name: 1-Methylmocimycin
Additional Names: antibiotic X-5108; goldinodox; goldinomycin
Manufacturers' Codes: X-5108
Molecular Formula: C44H62N2O12
Molecular Weight: 810.97
Percent Composition: C 65.17%, H 7.71%, N 3.45%, O 23.67%
Literature References: Antibiotic produced by Streptomyces goldiniensis var. goldiniensis: J. Berger, DE 2140322; idem, US 3708577 (1972, 1973 both to Hoffmann-La Roche). Isoln, production, properties and toxicity data: J. Berger et al., J. Antibiot. 26, 15 (1973). Improved production: J. Unowsky, D. C. Hoppe, ibid. 31, 662 (1978). Structure: H. Maehr et al., J. Am. Chem. Soc. 95, 8449 (1973). Absolute stereochemistry: eidem, ibid. 96, 4034 (1974). Biosynthesis: C.-M. Liu et al., J. Antibiot. 30, 416 (1977); 32, 414 (1979). Stereospecific total synthesis: R. E. Dolle, K. C. Nicolaou, J. Am. Chem. Soc. 107, 1691, 1695 (1985). Growth promoting activity: W. L. Marusich et al., Poult. Sci. 53, 636 (1974). Review of chemistry: H. Maehr et al., Can. J. Chem. 58, 501 (1980).
Properties: Yellow amorphous solid. Weakly acidic. Sol in methanol, ethyl acetate, CHCl3, acetone, methylene chloride. Insol in water. pKa = 6.1. Unstable in acidic or basic soln, but can be kept in aq soln at pH 7-9 for 4 hrs at 25° without significant loss of activity. Solns kept at 25° or heated to 56° are 2-10 times more stable in methanol than in water or pH 9 borate buffer. LD50 in mice (mg/kg): >1000 s.c., >4000 orally (Berger et al.).
pKa: pKa = 6.1
Toxicity data: LD50 in mice (mg/kg): >1000 s.c., >4000 orally (Berger et al.)
 
Derivative Type: Sodium salt
Molecular Formula: C44H61N2NaO12
Molecular Weight: 832.95
Percent Composition: C 63.45%, H 7.38%, N 3.36%, Na 2.76%, O 23.05%
Properties: Yellow solid. [a]D25 -82.8° (c = 0.52 in ethanol). uv max (0.1N HCl): 334, 233, 206 nm (E1%1cm 403, 610, 500); (0.1N KOH): 327, 231 nm (E1%1cm 416, 647). Sol in water, methanol, ethanol, isopropanol, butanol, DMF. Slightly sol in amyl alcohol, THF, dioxane. Insol in benzene, chloroform, ethyl ether, petr ether.
Optical Rotation: [a]D25 -82.8° (c = 0.52 in ethanol)
Absorption maximum: uv max (0.1N HCl): 334, 233, 206 nm (E1%1cm 403, 610, 500); (0.1N KOH): 327, 231 nm (E1%1cm 416, 647)
 
Therap-Cat-Vet: Poultry growth promotant.

Other Monographs:
Selenium OxybromidePentetate Calcium TrisodiumAscaridoleDiphemanil Methylsulfate
DeoxyepinephrineL-FucoseDimetacrine1-Chloro-2-methyl-1-propene
Hydroxypropyl CelluloseProthipendyl8-Hydroxy-7-iodo-5-quinolinesulfonic AcidBeclotiamine
Lithium NitrateChloroprednisoneCarticaineCinitapride
©2006-2023 DrugFuture->Chemical Index Database