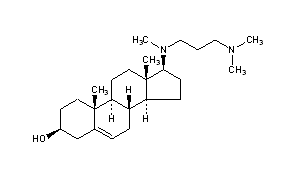
Azacosterol
Structural Formula Vector Image
Title: Azacosterol
CAS Registry Number: 313-05-3
CAS Name: (3b,17b)-17-[[3-(Dimethylamino)propyl]methylamino]androst-5-en-3-ol
Additional Names: N-methyl-N-[3-(dimethylamino)propyl]-17b-aminoandrost-5-en-3b-ol; 20,25-diazacholesterol; diazasterol
Molecular Formula: C25H44N2O
Molecular Weight: 388.63
Percent Composition: C 77.26%, H 11.41%, N 7.21%, O 4.12%
Literature References: Prepn: Counsell et al., J. Med. Pharm. Chem. 5, 1224 (1962); Counsell, Klimstra, US 3084156 (1963 to Searle).
Properties: Crystals from acetone + methanol, mp 146-148°. [a]D -54.5°.
Melting point: mp 146-148°
Optical Rotation: [a]D -54.5°
 
Derivative Type: Dihydrochloride
CAS Registry Number: 1249-84-9
Manufacturers' Codes: SC-12937
Trademarks: Ornitrol (Avitrol)
Molecular Formula: C25H44N2O.2HCl
Molecular Weight: 461.55
Percent Composition: C 65.06%, H 10.05%, N 6.07%, O 3.47%, Cl 15.36%
Properties: [a]D -32°.
Optical Rotation: [a]D -32°
 
Therap-Cat-Vet: Avian chemosterilant.

Other Monographs:
N,N'-Diphenyl-p-phenylenediamineSerineMethyl AbietatePropazine
Chromic FormateCheirolinHydrastinineIsoamyl Salicylate
Menthyl AnthranilateDichlorodifluoromethane3,5-DiiodothyronineSenecialdehyde
Methylenedigallic AcidAluminum CarbidePyroxylinPhosphorus Pentafluoride
©2006-2023 DrugFuture->Chemical Index Database