Auranofin
Structural Formula Vector Image
Title: Auranofin
CAS Registry Number: 34031-32-8
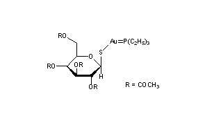
CAS Name: (1-Thio-b-D-glucopyranose-2,3,4,6-tetraacetato-S)(triethylphosphine)gold
Additional Names: (2,3,4,6-tetra-O-acetyl-1-thio-b-D-glucopyranosato-S)(triethylphosphine)gold; (1-thio-b-D-glucopyranosato)(triethylphosphine)gold 2,3,4,6-tetraacetate
Manufacturers' Codes: SKF-39162
Trademarks: Crisinor (Rubio); Crisofin (Allergan); Ridaura (Prometheus); Ridauran (Robapharm)
Molecular Formula: C20H34AuO9PS
Molecular Weight: 678.48
Percent Composition: C 35.40%, H 5.05%, Au 29.03%, O 21.22%, P 4.57%, S 4.73%
Literature References: Disease modifying antirheumatic drug (DMARD); orally active gold coordination complex. Prepn: E. R. McGusty, B. M. Sutton, DE 2051495; eidem, US 3635945 (1971, 1972 both to SKF). Toxicity study: B. H. Payne, D. T. Walz, Vet. Pathol. 15, Suppl. 5, 1 (1978). HPLC determn in urine: R. Kizu et al., Chem. Pharm. Bull. 41, 1261 (1993). Symposium on pharmacology and clinical experience: J. Rheumatol. 9, Suppl. 8, 1-209 (1982). Clinical trial in rheumatoid arthritis: M. Itokazu et al., Clin. Ther. 17, 60 (1995); in steroid-dependent asthma: I. L. Bernstein et al., J. Allergy Clin. Immunol. 98, 317 (1996). Review: W. F. Kean et al., Br. J. Rheumatol. 36, 560-572 (1997).
Properties: White, odorless, crystalline powder, mp 112-115°. Insol in water. Unstable to light and heat. LD50 in rats, mice (mg/kg): 265, 310 orally (Payne, Walz).
Melting point: mp 112-115°
Toxicity data: LD50 in rats, mice (mg/kg): 265, 310 orally (Payne, Walz)
Therap-Cat: Antirheumatic.
Keywords: Antiarthritic/Antirheumatic.

Other Monographs:
Methyl ChlorocarbonateBebeeru BarkCyamemazine2,4-Dimethylsulfolane
α-RibazoleHexylcaine Hydrochloride5-Nitrosalicylic AcidThymopoietin
PiroctoneEnterobactinUranediolMagnesium Monoperoxyphthalate
Manganese DifluorideElymoclavinePlatinous IodideErythromycin Stearate
©2006-2023 DrugFuture->Chemical Index Database