Amine 220
Structural Formula Vector Image
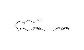
Title: Amine 220
CAS Registry Number: 95-38-5
CAS Name: 2-(8-Heptadecenyl)-4,5-dihydro-1H-imidazole-1-ethanol
Additional Names: 2-(8-heptadecenyl)-2-imidazoline-1-ethanol; 1-(2-hydroxyethyl)-2-(8-heptadecenyl)-2-imidazoline
Molecular Formula: C22H42N2O
Molecular Weight: 350.58
Percent Composition: C 75.37%, H 12.08%, N 7.99%, O 4.56%
Literature References: Prepared from oleic acid and 2-[(2-aminoethyl)amino]ethanol: Stromberg, Hughes, and Hughes, Stromberg, US 2987515 and US 3020276 (1961, 1962 both to Petrolite Corp.).

Other Monographs:
Calcium Phosphate, MonobasicMethymycinTriphenyleneDiclofop-methyl
Oil of DillIsopromethazineMethyl SulfatePicrotoxinin
Glycol Salicylate10-MethoxyharmalanGrundmann's KetonePyridine 1-Oxide
FexofenadineHaplophytineButyrolactoneSelenious Acid
©2006-2023 DrugFuture->Chemical Index Database