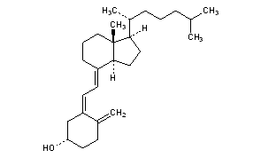
Vitamin D3
Structural Formula Vector Image
Title: Vitamin D3
CAS Registry Number: 67-97-0
CAS Name: (3b,5Z,7E)-9,10-Secocholesta-5,7,10(19)-trien-3-ol
Additional Names: activated 7-dehydrocholesterol; oleovitamin D3; cholecalciferol; colecalciferol; CC
Trademarks: Duphafral D3 1000; Delsterol; Deparal; Ebivit; Neo Dohyfral D3; Provitina (Promonta); Ricketon; Trivitan; D3-Vicotrat; Vi-De-3 (Novartis); Vigantol (Merck KGaA); Vigorsan (Albert-Roussel)
Molecular Formula: C27H44O
Molecular Weight: 384.64
Percent Composition: C 84.31%, H 11.53%, O 4.16%
Literature References: The vitamin that mediates intestinal calcium absorption, bone calcium metabolism and probably, muscle activity. It usually acts as a hormone precursor as it requires two stages of metabolism, first to 25-hydroxycholecalciferol and then to 1a,25-dihydroxycholecalciferol, q.q.v., before reaching actual hormonal form. Occurs in and is isolated from fish liver oils. Methods of sepn include chromatography, molecular distillation, esterification and fractionation of the esters. Prepd by irradiation of its provitamin 7-dehydrocholesterol, q.v.: Windaus et al., Z. Physiol. Chem. 241, 100 (1936); Windaus et al., Ann. 533, 118 (1938); Akhtar, Gibbons, Tetrahedron Lett. 1965, 509. Direct total synthesis: B. Lythgoe et al., Tetrahedron Lett. 1977, 3685. Laser photochemical production: V. Malatesta et al., J. Am. Chem. Soc. 103, 6781 (1981). General review: Inhoffen, Angew. Chem. 72, 875-881 (1960). Review of metabolism: Haussler, Rasmussen, J. Biol. Chem. 247, 2328-2335 (1972); Nature 245, 180-182 (1973).
Properties: Fine needles from dilute acetone, mp 84-85°. [a]D20 +84.8° (c = 1.6 in acetone); [a]D20 +51.9° (c = 1.6 in chloroform). uv max (alcohol or hexane): 264.5 nm. (E1%1cm 450-490): Huber et al., J. Am. Chem. Soc. 67, 609 (1945). Not precipitated by digitonin (diff from 7-dehydrocholesterol). Practically insol in water; sol in the usual organic solvents; slightly sol in vegetable oils. Oxidized and inactivated by moist air within a few days. Deterioration of pure cryst vitamin D3 is negligible after storage of 1 year in amber evacuated ampuls at refrigerator temps; vitamin D2 may be kept for 9 months under the same conditions. Additional stability information: Huber, Barlow, J. Biol. Chem. 149, 125 (1942). Generally vitamin D3 is considered more stable than vitamin D2.
Melting point: mp 84-85°
Optical Rotation: [a]D20 +84.8° (c = 1.6 in acetone); [a]D20 +51.9° (c = 1.6 in chloroform)
Absorption maximum: uv max (alcohol or hexane): 264.5 nm
NOTE: Vitamin D3 is approx as effective as vitamin D2 in the human and in the rat. It is also fully active in chicks. Vitamin D2 is only 1-2 percent as potent for the chick as vitamin D3. Because of this difference it is important that poultry feeds are supplemented with vitamin D3 rather than D2. One unit (U.S.P. or international) is defined as the activity of 0.025 g of vitamin D3 contained in the U.S.P. vitamin D reference standard.
Therap-Cat: Vitamin (antirachitic).
Therap-Cat-Vet: Nutritional factor (antirachitic).
Keywords: Vitamin/Vitamin Source; Vitamin D.

Other Monographs:
1,3-PropanedithiolBentoquatamSilymarinAlfimeprase
N,N-Dimethyl-1-naphthylamineSilver SeleniteTumor Necrosis FactorNMDA
Vanadium TetrafluorideCetyldimethylethylammonium BromideCefcapene PivoxilMethylthiouracil
Iodine MonochlorideMersalylTiquizium BromidePyrolan
©2006-2023 DrugFuture->Chemical Index Database