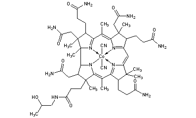
Etiocobalamin
Structural Formula Vector Image
Title: Etiocobalamin
CAS Registry Number: 27792-36-5
CAS Name: Cobinamide dicyanide
Additional Names: vitamin B12p; Factor B
Molecular Formula: C50H72CoN13O8
Molecular Weight: 1042.12
Percent Composition: C 57.63%, H 6.96%, Co 5.66%, N 17.47%, O 12.28%
Literature References: Vitamin B12 factor obtained by removal of the nucleotide from cyanocobalamin by acid hydrolysis. Isoln from calf feces: Ford, Porter, Biochem. J. 51, V (1952). Prepn by acid hydrolysis: Gant et al., ibid. 56, XXXIV (1954); Friedrich, Bernhauer, Angew. Chem. 65, 627 (1953). Prepn from factor V1a and D(-)-1-amino-2-propanol: Bernhauer et al., Helv. Chim. Acta 43, 696 (1960); Bernhauer, US 3072674 (1963 to Hoffmann-La Roche).
NOTE: The term etiocobalamin is used by some authors to designate any cobalamin lacking the nucleotide group present in vitamin B12.

Other Monographs:
Chondroitin SulfateStannous AcetateAgar2-Nitro-1,1-bis(p-chlorophenyl)propane
β-GlucogallinBenzopurpurine 4BOritavancinThyme
Ammonium BitartrateKresoxim-methylPentamethonium BromideTolcapone
3-Nitrosalicylic AcidCesium FluorideSeyferth-Gilbert ReagentN-Phenylsulfanilic Acid
©2006-2023 DrugFuture->Chemical Index Database