Vitamin A
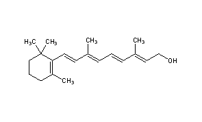
Structural Formula Vector Image
Title: Vitamin A
CAS Registry Number: 68-26-8
CAS Name: Retinol
Additional Names: all-trans-retinol; (all-E)-3,7-dimethyl-9-(2,6,6-trimethyl-1-cyclohexen-1-yl)-2,4,6,8-nonatetraen-1-ol; anti-infective vitamin; antixerophthalmic vitamin; axerophthol; lard-factor; oleovitamin A; ophthalamin (obsolete); vitamin A1; vitamin A alcohol
Trademarks: Aquasol A (AAI); Avibon (Aventis); Avitol (Lannacher); Vogan (Merck KGaA)
Molecular Formula: C20H30O
Molecular Weight: 286.45
Percent Composition: C 83.86%, H 10.56%, O 5.59%
Literature References: Fat soluble, essential micronutrient. Occurs preformed only in animals; metabolized from carotenoids, such as b-carotene, q.v., in the intestinal mucosa. Dietary sources include liver, milk, butter, cheese, eggs and fish liver oils or as carotenoids from fruits and vegetables. Stored primarily in the liver in esterified form; transported in the blood by retinol binding protein (RBP). Oxidized to retinal, q.v., a key component of the visual system, and to retinoic acid, q.v., which effects gene expression via specific nuclear receptors. Identification as essential nutrient in butter and egg: E. V. McCollum, M. Davis, J. Biol. Chem. 15, 167 (1913). Isoln from fish oil: P. Karrer et al., Helv. Chim. Acta 14, 1036 (1931). Structure: eidem, ibid. 1431; I. M. Heilbron et al., Biochem. J. 26, 1194 (1932). Synthesis: O. Isler et al., Helv. Chim. Acta 30, 1911 (1947); N. L. Wendler et al., J. Am. Chem. Soc. 72, 234 (1950); T. Mukaiyama, A. Ishida, Chem. Lett. 1975, 1201. Stereospecific synthesis: P. S. Manchand et al., Helv. Chim. Acta 59, 567 (1976); G. Cardillo et al., J. Chem. Soc. Perkin Trans. 1 1979, 1729. Toxicology: J. J. Kamm, J. Am. Acad. Dermatol. 6, 652 (1982). Review: W. Friedrich in Vitamins (Walter de Gruyter, New York, 1988) pp 63-140. Book: The Retinoids, M. B. Sporn et al., Eds. (Raven Press, New York, 1994) 679pp. Review of role in vision: R. K. Crouch et al., Photochem. Photobiol. 64, 613-621 (1996); of physiological functions and dietary requirements in humans: H. Gerster, Int. J. Vitam. Nutr. Res. 67, 71-90 (1997); of metabolism and transport: E. H. Harrison, Annu. Rev. Nutr. 18, 259-276 (1998).
Properties: Solvated crystals from polar solvents, such as methanol or ethyl formate. mp 62-64°. Distills at 120-125° at 5´10-3 mm pressure. nD22 1.6410 (calculated from refractive indexes of 20-70% solns in mineral oil). uv max (ethanol): 324-325 nm (E1%1cm 1835). Practically insol in water or glycerol. Sol in abs alcohol, methanol, chloroform, ether, fats and oils. Exhibits a yellow-green fluorescence when irradiated with Xuv light. LD50 (10 day) in mice (mg/kg): 1510 i.p.; 2570 orally (Kamm).
Melting point: mp 62-64°
Index of refraction: nD22 1.6410 (calculated from refractive indexes of 20-70% solns in mineral oil)
Absorption maximum: uv max (ethanol): 324-325 nm (E1%1cm 1835)
Toxicity data: LD50 (10 day) in mice (mg/kg): 1510 i.p.; 2570 orally (Kamm)
 
Derivative Type: Acetate
CAS Registry Number: 127-47-9
Molecular Formula: C22H32O2
Molecular Weight: 328.49
Percent Composition: C 80.44%, H 9.82%, O 9.74%
Properties: Pale yellow prismatic crystals from methanol, mp 57-58°. uv max (ethanol): 326 nm (E1%1cm 1550). LD50 (10 day) orally in mice: 4100 mg/kg (Kamm).
Melting point: mp 57-58°
Absorption maximum: uv max (ethanol): 326 nm (E1%1cm 1550)
Toxicity data: LD50 (10 day) orally in mice: 4100 mg/kg (Kamm)
 
Derivative Type: Palmitate
CAS Registry Number: 79-81-2
Trademarks: Arovit (Roche); Optovit-A (Hermes)
Molecular Formula: C36H60O2
Molecular Weight: 524.86
Percent Composition: C 82.38%, H 11.52%, O 6.10%
Properties: Predominant storage form of vitamin A in the liver. Amorphous or cryst. mp 28-29°. uv max (ethanol): 325-328 nm (E1%1cm 975). LD50 (10 day) in mice, rats (mg/kg): 6060, 7910 orally (Kamm).
Melting point: mp 28-29°
Absorption maximum: uv max (ethanol): 325-328 nm (E1%1cm 975)
Toxicity data: LD50 (10 day) in mice, rats (mg/kg): 6060, 7910 orally (Kamm)
 
Derivative Type: 13-cis Form see Neovitamin A
 
Therap-Cat: Vitamin (antixerophthalmic).
Therap-Cat-Vet: Nutritional factor.
Keywords: Vitamin/Vitamin Source; Vitamin A.

Other Monographs:
2-Phenyl-6-chlorophenolAdrenolutinAzamethonium BromidePiperylone
DaidzeinTrimethylene GlycolCetiedilCarbonyl Sulfide
Vindesineβ-Carboxyaspartic AcidNodulisporic acidSulfaguanidine
Stilbazium IodidePalonosetron1,1-Dichloroacetone1-Naphthol-2-sulfonic Acid
©2006-2023 DrugFuture->Chemical Index Database