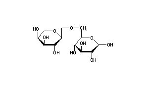
Vicianose
Structural Formula Vector Image
Title: Vicianose
CAS Registry Number: 14116-69-9
CAS Name: 6-O-a-L-Arabinopyranosyl-D-glucose
Additional Names: 6-(a-L-arabinosido)-D-glucose
Molecular Formula: C11H20O10
Molecular Weight: 312.27
Percent Composition: C 42.31%, H 6.46%, O 51.24%
Literature References: By enzymatic hydrolysis of vicianin, gein, and violutin: Bertrand, Weisweiller, Compt. Rend. 150, 181 (1910); Bull. Soc. Chim. [4] 9, 38 (1911). Synthesis: Helferich, Bredereck, Ann. 465, 166 (1928); Wallenfels, Beck, Ann. 630, 46 (1960).
Properties: Needles from 75% alc, dec 210°. Weak sweetish taste. Shows mutarotation. [a]D20 +63° ®+40° (22 hrs, c = 8). Very sol in water, practically insol in abs alc. Reduces Fehling's soln somewhat more than maltose.
Optical Rotation: [a]D20 +63° ®+40° (22 hrs, c = 8)
 
 
Status: This monograph has been retired and is no longer subject to revision or update.

Other Monographs:
PorphobilinogenIsolysergic AcidLofentanilAllopregnane-3β,17α,20β,21-tetrol
Phosphorous AcidStem Cell FactorLevallorphanHydroxymercurichlorophenols
Ruthenium TrichlorideEthephonLiothyronineBarium Phosphate, Dibasic
3,5-Diiodosalicylic AcidCarbobenzoxy ChlorideNorlevorphanolThiamiprine
©2006-2023 DrugFuture->Chemical Index Database