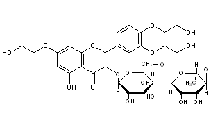
Troxerutin
Structural Formula Vector Image
Title: Troxerutin
CAS Registry Number: 7085-55-4
CAS Name: 2-[3,4-Bis(2-hydroxyethoxy)phenyl]-3-[[6-O-(6-deoxy-a-L-mannopyranosyl)-b-D-glucopyranosyl]oxy]-5-hydroxy-7-(2-hydroxyethoxy)-4H-1-benzopyran-4-one
Additional Names: 7,3¢,4¢-tris[O-(2-hydroxyethyl)]rutin; trioxyethylrutin; tri(hydroxyethyl)rutoside
Trademarks: Posorutin (Ursapharm); Ruven (Mepha); Vastribil (Farmasan); Veinamitol (NEGMA); Veniten (Wyeth)
Molecular Formula: C33H42O19
Molecular Weight: 742.68
Percent Composition: C 53.37%, H 5.70%, O 40.93%
Literature References: The principal component of a mixture, the O-(b-hydroxyethyl)rutosides, which also contains mono-, di-, tetra- and other trihydroxyethyl derivs of rutin, q.v. The mixture is prepd by the hydroxyethylation of the phenolic groups of rutin with glycochlorohydrin in alk medium: J. Favre, CH 349614 (1957); see also GB 833174 (1960 to Zyma), C.A. 54, 21135i (1960). Isolation and identification of major components of the mixture: P. Courbat et al., Helv. Chim. Acta 49, 1203, 1420 (1966). Prepn of troxerutin: P. J. Courbat, US 3420815 (1969 to Zyma). Metabolism in man: A. M. Hackett et al., Arzneim.-Forsch. 26, 925 (1976).
Properties: Yellow powder, mp 181°. Sol in water, glycerol, propylene glycol. Practically insol in cold ethanol, methanol (forms alcoholate), ether, benzene, chloroform.
Melting point: mp 181°
 
Derivative Type: O-(b-Hydroxyethyl)rutinosides (mixture)
CAS Registry Number: 55965-63-4
Additional Names: HR
Trademarks: Paroven (Zyma); Relvene (Pharmascience); Varemoid (Zyma); Venoruton (Zyma)
Properties: Yellow powder, mp 156°. Sol in water, methanol, glycerol, propylene glycol. Practically insol in cold ethanol (forms alcoholate), ether, benzene, chloroform.
Melting point: mp 156°
 
Therap-Cat: Treatment of venous disorders.
Keywords: Vasoprotectant.

Other Monographs:
Amtolmetin GuacilClavulanic AcidIndolebutyric AcidNifurpirinol
7-Aminocephalosporanic AcidHexanitrohexaazaisowurtzitaneGraphite FluoridePotassium Titanyl Oxalate
Medetomidineα-PhenylbutyramideDisufentonDipyrocetyl
D-TagatoseLongifoleneTinPuberulic Acid
©2006-2023 DrugFuture->Chemical Index Database