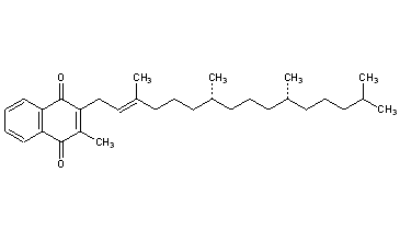
Phylloquinone
Structural Formula Vector Image
Title: Phylloquinone
CAS Registry Number: 84-80-0
CAS Name: 2-Methyl-3-[(2E,7R,11R)-3,7,11,15-tetramethyl-2-hexadecenyl]-1,4-naphthalenedione
Additional Names: 2-methyl-3-phytyl-1,4-naphthoquinone; 3-phytylmenadione; phytomenadione; phytonadione; vitamin K1
Trademarks: AquaMephyton (Merck & Co.); Konakion (Roche); Mephyton (Merck & Co.); Mono-Kay (Abbott); Veda-K1 (Vedco); Veta-K1 (Sanofi)
Molecular Formula: C31H46O2
Molecular Weight: 450.70
Percent Composition: C 82.61%, H 10.29%, O 7.10%
Literature References: Photosynthetic electron carrier; occurs widely in green plants, algae, photosynthetic bacteria. Major dietary source of vitamin K, q.v. Isoln from alfalfa: H. Dam et al., Helv. Chim. Acta 22, 310 (1939). Structure: D. W. MacCorquodale et al., J. Biol. Chem. 131, 357 (1939); L. F. Fieser, J. Am. Chem. Soc. 61, 3467 (1939). Partial syntheses from menadione and phytol: H. J. Almquist, A. A. Klose, ibid. 2557; S. B. Binkley et al., ibid. 2558; L. F. Fieser, ibid. 2559. Stereochemistry and total synthesis: H. Mayer et al., Helv. Chim. Acta 47, 221 (1964); L. M. Jackman et al., ibid. 48, 1332 (1965). Synthesis using a p-allylic nickel(I) complex: Sato et al., J. Chem. Soc. Perkin Trans. 1 1973, 2289. Alternate synthesis: Y. Tachibana, Chem. Lett. 1977, 901. Metabolic studies: M. J. Shearer et al., Br. J. Haematol. 18, 297 (1970); 22, 579 (1972). The cis isomer is not bioactive: J. T. Matschiner et al., J. Nutr. 102, 625 (1972). Isoln from chloroplasts: E. Interschick-Niebler, H. K. Lichtenthaler, Z. Naturforsch. 36C 276 (1981). Role in photosystem I: K. Brettel et al., FEBS Lett. 203, 220 (1986). Conversion in vivo to menaquinone-4, q.v.: H. H. W. Thijssen, M. J. Drittij-Reijnders, Br. J. Nutr. 72, 415 (1994). HPLC determn in foods: S. L. Booth et al., J. Agric. Food Chem. 42, 295 (1994). Clinical efficacy in hemorrhagic disease of newborn: P. M. Loughnan, P. N. McDougall, J. Paediatr. Child Health 29, 171 (1993). Comprehensive description: M. M. A. Hassan et al., Anal. Profiles Drug Subs. 17, 449-531 (1988).
Properties: Yellow viscous oil. [a]D25 -0.28° (dioxane). nD20 1.5263. uv max (petr ether): 242, 248, 260, 269, 325 nm (E1%1cm 396, 419, 383, 387, 68). Insol in water. Sparingly sol in methanol; sol in ethanol, acetone, benzene, petr ether, hexane, dioxane, chloroform, ether, other fat solvents and in vegetable oils. Stable to air and moisture, but dec in sunlight. Unaffected by dil acids, but destroyed by solns of alkali hydroxides and by reducing agents. Keep well closed and protected from light.
Optical Rotation: [a]D25 -0.28° (dioxane)
Index of refraction: nD20 1.5263
Absorption maximum: uv max (petr ether): 242, 248, 260, 269, 325 nm (E1%1cm 396, 419, 383, 387, 68)
 
Derivative Type: Dihydro form
CAS Registry Number: 572-96-3
Additional Names: Phytonadiol; dihydrovitamin K1; a-phyllohydroquinone
Properties: Waxy mass. Freely sol in ether; sparingly sol in petr ether. Insol in water.
 
Derivative Type: Dihydro form sodium diphosphate
CAS Registry Number: 5988-22-7
Additional Names: Phytonadiol sodium diphosphate; Kayhydrin
Molecular Formula: C31H48Na2O8P2
Molecular Weight: 656.64
Percent Composition: C 56.70%, H 7.37%, Na 7.00%, O 19.49%, P 9.43%
Properties: mp 138°. Sol in water and methanol.
Melting point: mp 138°
 
Derivative Type: 2,3-Epoxide
CAS Registry Number: 25486-55-9
Additional Names: Vitamin K1 epoxide; vitamin K1 oxide
Molecular Formula: C31H46O3
Molecular Weight: 466.70
Percent Composition: C 79.78%, H 9.93%, O 10.28%
Literature References: Prepn: Fieser et al., J. Am. Chem. Soc. 61, 3216 (1939).
Properties: Colorless oil. uv max (95% alc): 259, 305 nm (log EM 3.79, 3.31). Insol in water.
Absorption maximum: uv max (95% alc): 259, 305 nm (log EM 3.79, 3.31)
 
Therap-Cat: Vitamin (prothrombogenic).
Therap-Cat-Vet: Vitamin (prothrombogenic); antidote for dicoumarol poisoning.
Keywords: Vitamin/Vitamin Source; Vitamin K.

Other Monographs:
Terpenylic AcidCinepazideo-ToluamideErgotinine
Granulocyte Colony-Stimulating FactorElgodipineFosfosalPotassium p-Aminobenzoate
AcetylcarnitineCytochalasinsMethyl ParathionDimethenamid
n-DibutylamineSarkomycinSodium Vanadate(V)Ammonium Sodium Phosphate
©2006-2023 DrugFuture->Chemical Index Database