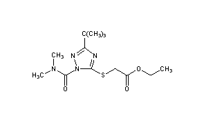
Triazamate
Structural Formula Vector Image
Title: Triazamate
CAS Registry Number: 112143-82-5
CAS Name: [[1-[(Dimethylamino)carbonyl]-3-(1,1-dimethylethyl)-1H-1,2,4-triazol-5-yl]thio]acetic acid ethyl ester
Additional Names: ethyl (3-tert-butyl-1-dimethylcarbamoyl-1H-1,2,4-triazol-5-ylthio)acetate; 1-dimethylcarbamoyl-3-tert-butyl-5-carboethoxymethylthio-1,2,4-triazole
Manufacturers' Codes: RH-7988; WL-145158
Trademarks: Aphistar (Dow AgroSci.); Aztec (BASF)
Molecular Formula: C13H22N4O3S
Molecular Weight: 314.40
Percent Composition: C 49.66%, H 7.05%, N 17.82%, O 15.27%, S 10.20%
Literature References: Cholinesterase inhibitor. Prepn: R. M. Jacobson et al., EP 213718; R. M. Jacobson, M. Thirugnanam, US 4742072 (1987, 1988 both to Rohm and Haas). Properties and biological activity: A. Murray et al., Brighton Crop Prot. Conf. - Pests Dis. 1988, 73. Field studies on sugar beets: A. M. Dewar et al., ibid. 1994, 407. HPLC determn in crops: R. Weitzel, U. Zimmermann, ibid. 1996, 983. Review of metabolism and aphicidal spectrum: R. M. Jacobson, M. Thriugnanam, ACS Symp. Ser. 443, 322-339 (1991).
Properties: Light tan solid, mp 60°. Vapor pressure 4.8 ´10-6 torr. Soly of technical grade in water <1%; sol in methylene chloride, ethyl acetate. LD50 (14 d) in mice, rats (mg/kg): 61, 50-200 orally; in rats (mg/kg): >5000 dermally (Murray). LC50 (48 h) in daphnia: 0.048 mg/l; (96 h) in bluegill, trout: 1.0, 0.43 mg/l (Murray).
Melting point: mp 60°
Toxicity data: LD50 (14 d) in mice, rats (mg/kg): 61, 50-200 orally; in rats (mg/kg): >5000 dermally (Murray); LC50 (48 h) in daphnia: 0.048 mg/l; (96 h) in bluegill, trout: 1.0, 0.43 mg/l (Murray)
Use: Pesticide.

Other Monographs:
ImidureaPirozadilFenbendazoleLaureline
n-Butyl BenzoateLiothyronine2,6-DinitroanilineCyamemazine
EburnamonineAllopregnane-3β,17α,21-triol-11,20-dioneBevacizumabOmalizumab
Sodium Bismuthate(V)CacodylAluminum AntimonideOctyl Acetate
©2006-2023 DrugFuture->Chemical Index Database