Aconitine
Structural Formula Vector Image
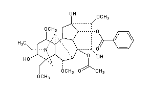
Title: Aconitine
CAS Registry Number: 302-27-2
CAS Name: (1a,3a,6a,14a,15a,16b)-20-Ethyl-1,6,16-trimethoxy-4-(methoxymethyl)aconitane-3,8,13,14,15-pentol 8-acetate 14-benzoate
Molecular Formula: C34H47NO11
Molecular Weight: 645.74
Percent Composition: C 63.24%, H 7.34%, N 2.17%, O 27.25%
Literature References: Several isomers from Aconitum napellus L., Ranunculaceae and other aconites. Majima et al., Ber. 57, 1456 (1924); Proc. Imp. Acad. Tokyo 5, 415 (1929); Freudenberg, Ber. 69, 1964 (1936); Swanson et al., Aconite, A. Ph. A. Monograph no. 1 (1938); Methods of Analysis, A.O.A.C., 8th ed., 598, 651 (1955). Structure: Wiesner et al., Collect. Czech. Chem. Commun. 28, 2462 (1963); Wiesner et al., Can. J. Chem. 47, 2734 (1969). Stereochemistry: Bachelor et al., Tetrahedron Lett. 1960, no. 10, 1; Gilman, Marion, ibid. 1961, 923; Tsuda, Marion, Can. J. Chem. 41, 1634 (1963); Birnbaum et al., Tetrahedron Lett. 1971, 867. Pharmacology: H. Sato et al., Tohoku J. Exp. Med. 128, 175 (1979). Inotropic effects: P. Honerjäger, A. Meissner, Arch. Pharmacol. 322, 49 (1983). Toxicity: Dybing et al., Acta Pharmacol. Toxicol. 7, 337 (1951).
Properties: Hexagonal plates, mp 204°. [a]D +17.3° (chloroform). Aq soln is alkaline to litmus. pK 5.88. One gram dissolves in 2 ml chloroform, 7 ml benzene, 28 ml abs alcohol, 50 ml ether, 3300 ml water. Slightly sol in petr ether. Poisonous! LD50 in mice (mg/kg): 0.166 i.v.; 0.328 i.p.; approx 1 orally (Dybing); also reported as LD50 in mice (mg/kg): 1.8 orally, 0.270 s.c.; 0.380 i.p.; 0.12 i.v. (Sato).
Melting point: mp 204°
pKa: pK 5.88
Optical Rotation: [a]D +17.3° (chloroform)
Toxicity data: LD50 in mice (mg/kg): 0.166 i.v.; 0.328 i.p.; approx 1 orally (Dybing); also reported as LD50 in mice (mg/kg): 1.8 orally, 0.270 s.c.; 0.380 i.p.; 0.12 i.v. (Sato)
 
Derivative Type: Hydrobromide hemipentahydrate
Molecular Formula: C34H47NO11.HBr.2½H2O
Molecular Weight: 771.69
Percent Composition: C 52.92%, H 6.92%, N 1.82%, O 27.99%, Br 10.35%
Properties: Hexagonal tablets from water, mp 200-207° (sinters at 160°). Amorphous form mp 115-120°. Also crystallizes from ethanol + ether with ½H2O, mp 206-207°; [a]D -30.8°. Violent poison! Ref: Paech, Tracey, Modern Methods of Plant Analysis vol. IV (Springer-Verlag, Berlin, 1955) p 375.
Melting point: mp 200-207° (sinters at 160°); mp 115-120°; mp 206-207°
Optical Rotation: [a]D -30.8°
 
Derivative Type: Hydrochloride hemipentahydrate
Molecular Formula: C34H47NO11.HCl.2½H2O
Molecular Weight: 727.24
Percent Composition: C 56.15%, H 7.35%, N 1.93%, O 29.70%, Cl 4.88%
Properties: Crystals, mp 149-153°. mp 194-195° (dry). [a]D -30.9°. Violent poison! Ref: Paech, Tracey.
Melting point: mp 149-153°; mp 194-195° (dry)
Optical Rotation: [a]D -30.9°
 
Derivative Type: Nitrate
Molecular Formula: C34H47NO11.HNO3
Molecular Weight: 708.75
Percent Composition: C 57.62%, H 6.83%, N 3.95%, O 31.60%
Properties: Crystals, mp about 200° (dec). [a]D20 -35° (c = 2 in water). Violent poison! One gram dissolves in 10 ml boiling water. Less sol in cold water. Sol in alcohol.
Melting point: mp about 200° (dec)
Optical Rotation: [a]D20 -35° (c = 2 in water)
 
CAUTION: Potential symptoms of overexposure are nausea, vomiting, diarrhea due to CNS stimulation; restlessness, ataxia, vertigo, slow and dyspneic breathing, hypothermia, convulsions. Direct contact may cause warm tingling sensation with subsequent numbness on mouth and mucous membranes. See Clinical Toxicology of Commercial Products, R. E. Gosselin et al., Eds. (Williams & Wilkins, Baltimore, 5th ed., 1984) Section II, p 249.
Use: Used in producing heart arrhythmia in experimental animals: Boyadzhiev, C.A. 73, 86256e (1970).
Therap-Cat: Has been used topically in neuralgia.

Other Monographs:
Diphenolic AcidStannic SeleniteOctenidineCinnamoylcocaine
N-Methyl-α-L-glucosamineChloropicrinBebeeru BarkBarium Sulfide
ThebainoneAluminum SulfateCyclobenzaprinePearlman's Catalyst
D-Erythrose 4-PhosphateAprotininClinofibrateTelavancin
©2006-2023 DrugFuture->Chemical Index Database