Tocol
Structural Formula Vector Image
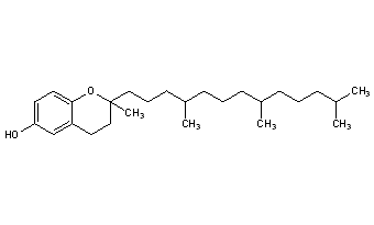
Title: Tocol
CAS Registry Number: 119-98-2
CAS Name: 3,4-Dihydro-2-methyl-2-(4,8,12-trimethyltridecyl)-2H-1-benzopyran-6-ol
Additional Names: 2-methyl-2-(4,8,12-trimethyltridecyl)-6-chromanol; 2-methyl-2-phytyl-6-chromanol; 6-hydroxy-2-methyl-2-phytylchroman; 2-methyl-2-phytyl-6-hydroxychroman
Molecular Formula: C26H44O2
Molecular Weight: 388.63
Percent Composition: C 80.35%, H 11.41%, O 8.23%
Literature References: Synthesis by the condensation of hydroquinone and phytol in the presence of anhydr formic acid: Pendse, Karrer, Helv. Chim. Acta 40, 1837 (1957). Antioxidant activity of tocol and its methyl derivs: Olcott, van der Veen, Lipids 3, 331 (1968).
Properties: Colorless, viscous oil. bp0.001 165-175°.
Boiling point: bp0.001 165-175°
 
Derivative Type: Acetate
Molecular Formula: C28H46O3
Molecular Weight: 430.66
Percent Composition: C 78.09%, H 10.77%, O 11.15%
Properties: Viscous oil. bp0.001 180-185°.
Boiling point: bp0.001 180-185°
 
Use: Antioxidant.

Other Monographs:
AzacyclonolCuprous BromideCalcium N-CarbamoylaspartateSalsoline
β-CitronellolTriethylammonium FormateGemtuzumab OzogamicinDapoxetine
MotilinOil of Camphor, RectifiedGoserelinPotassium Tellurate(VI)
JuniperIdoxifenePotassium Sodium TartrateOx Bile Extract
©2006-2023 DrugFuture->Chemical Index Database