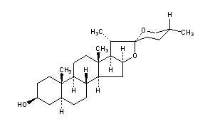
Tigogenin
Structural Formula Vector Image
Title: Tigogenin
CAS Registry Number: 77-60-1
CAS Name: (3b,5a,25R)-Spirostan-3-ol
Molecular Formula: C27H44O3
Molecular Weight: 416.64
Percent Composition: C 77.83%, H 10.64%, O 11.52%
Literature References: The aglycon of tigonin; C-5 epimer of smilagenin, q.v. Obtained from leaves of Digitalis lanata Ehrh., Scrophulariaceae: Windhaus, Z. Physiol. Chem. 150, 205 (1925); Jacobs, Fleck, J. Biol. Chem. 88, 545 (1930). From the sisal plant Agave sisalana L., Amaryllidaceae: Rubin, US 2991282 (1961); US 3303187 (1967). Structure: Marker, Rohrmann, J. Am. Chem. Soc. 62, 898 (1940); and synthesis: Mazur, Sondheimer, ibid. 81, 3161 (1959); Caglioti, Magi, Tetrahedron 19, 1127 (1963). In synthesis of steroids: T. Ohta et al., Org. Process Res. Dev. 1, 420 (1997); L. Amiranshvili et al., Bull. Georgian Acad. Sci. 161, 252 (2000).
Properties: Crystals from dil methanol, mp 203°. [a]D20 -62°. More sol in acetone, in ether, and esp in petr ether than gitogenin. Pptd by digitonin.
Melting point: mp 203°
Optical Rotation: [a]D20 -62°
 
Derivative Type: Tigonin
CAS Registry Number: 1329-83-5
Molecular Formula: C56H92O27
Molecular Weight: 1197.31
Percent Composition: C 56.18%, H 7.74%, O 36.08%
Literature References: Isoln from Digitalis sp: Tschesche, Ber. 69, 1665 (1936); Liang, Noller, J. Am. Chem. Soc. 57, 525 (1935). Built from 2 glucose, 2 galactose, 1 xylose, and 1 tigogenin unit.
Properties: Hygroscopic, amorphous flakes from 95% alc. After drying at 118° over P2O5 in vacuo sinters at 220°. mp ~260° (in vacuo). Sol in water. Not pptd by ether from water (difference from digitonin); amorphous ppt with amyl alcohol.
Melting point: mp ~260° (in vacuo)

Other Monographs:
Pramiracetam2,4-DifluoroanilineTryptophanChinese Wax
5,6-DimethylbenzimidazoleThiophenolNiobium PentachlorideDermostatin
Bismuth ButylthiolauratePhenoxyacetyl CelluloseClobetasolClavulanic Acid
TribromoethanolCycloleucineN,N-DiethylbenzhydrylamineBenexate Hydrochloride
©2006-2023 DrugFuture->Chemical Index Database