Tigloidine
Structural Formula Vector Image
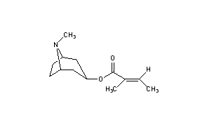
Title: Tigloidine
CAS Registry Number: 495-83-0
CAS Name: 2-Methyl-2-butenoic acid [1a,3a(E),5a]- 8-methyl-8-azabicyclo[3.2.1]oct-3-yl ester
Additional Names: (E)-1aH,5aH-tropan-3b-ol 2-methylcrotonate; tiglylpseudotropeine; 3b-tigloyloxytropane; tiglic acid ester with pseudotropine
Molecular Formula: C13H21NO2
Molecular Weight: 223.31
Percent Composition: C 69.92%, H 9.48%, N 6.27%, O 14.33%
Literature References: Isoln from Duboisia myoporoides R. Br., Solanaceae and prepn from tropine and tigloyl chloride: Barger et al., J. Chem. Soc. 1937, 1820; isoln from Datura innoxia Miller, Solanaceae: Evans, Wellendorf, ibid. 1959, 1406. Pharmacology: Sanghvi et al., Eur. J. Pharmacol. 4, 246 (1968).
 
Derivative Type: Hydrobromide
Trademarks: Tiglyssin (BDH)
Molecular Formula: C13H21NO2.HBr
Molecular Weight: 304.22
Percent Composition: C 51.32%, H 7.29%, N 4.60%, O 10.52%, Br 26.27%
Properties: mp 234-235°. Soluble in chloroform.
Melting point: mp 234-235°
 
Therap-Cat: Antispasmodic.
Keywords: Antispasmodic.

Other Monographs:
Penicillamine Cysteine DisulfidePotassium Tetracyanoplatinate(II)Phosphorus OxybromideSulfisoxazole
DichlorodifluoromethanePiroheptinePiritramideMonarda
Bismuth Valerate, BasicIndoleacetic AcidTyramineRetene
IodopsinDifluoroiodotoluenePyrosulfuryl ChlorideDinitrocresol
©2006-2023 DrugFuture->Chemical Index Database