Streptomycin
Structural Formula Vector Image
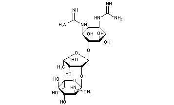
Title: Streptomycin
CAS Registry Number: 57-92-1
CAS Name: O-2-Deoxy-2-(methylamino)-a-L-glucopyranosyl-(1®2)-O-5-deoxy-3-C-formyl-a-L-lyxofuranosyl-(1®4)-N,N¢-bis(aminoiminomethyl)-D-streptamine
Additional Names: streptomycin A
Molecular Formula: C21H39N7O12
Molecular Weight: 581.57
Percent Composition: C 43.37%, H 6.76%, N 16.86%, O 33.01%
Literature References: Antibiotic substance produced by the soil Actinomycete Streptomyces griseus (Krainsky) Waksman et Henrici (Fam. Actinomycetaceae). Isolation: Schatz et al., Proc. Soc. Exp. Biol. Med. 55, 66 (1944). Production by aerobic fermentation and purification: Tishler in Streptomycin, Selman A. Waksman, Ed. (Williams & Wilkins, Baltimore, 1949) pp 32-54. Isoln and purification by ion exchange: Bartels et al., Chem. Eng. Prog. 54 (8), 49-51 (Aug. 1958); Bartels et al., US 2868779 (1959 to Olin Mathieson). Structure: Brink, Folkers, J. Am. Chem. Soc. 69, 1234 (1947); Wolfrom et al., ibid. 76, 3675 (1950). Total synthesis: Umezawa et al., J. Antibiot. 27, 997 (1974). Mechanism of action: B. J. Wallace et al., in Antibiotics vol. 5(pt. 1), F. E. Hahn, Ed. (Springer-Verlag, New York, 1979) pp 272-303. Review: Lemieux, Wolfrom, "The Chemistry of Streptomycin" in W. W. Pigman, M. L. Wolfrom, Adv. Carbohydr. Chem. 3, 337-384 (1948). Comprehensive description: J. Mossa et al., Anal. Profiles Drug Subs. 16, 507-609 (1986).
Properties: Streptomycin is usually available as the trihydrochloride, trihydrochloride-calcium chloride double salt, phosphate, or sesquisulfate, which occur as granules or powder. Odorless or nearly so, with a slightly bitter taste. Most salts are hygroscopic and deliquesce on exposure to air, but are not affected by air or light. The salts are very sol in water; but almost insol in alc, chloroform, ether. Solns are levorotatory.
 
Derivative Type: Trihydrochloride
Additional Names: Streptomycin hydrochloride
Molecular Formula: C21H39N7O12.3HCl
Molecular Weight: 690.96
Percent Composition: C 36.50%, H 6.13%, N 14.19%, O 27.79%, Cl 15.39%
Properties: [a]D25 -84°. Solubilities as determined by Weiss et al., Antibiot. Chemother. 7, 374 (1957) in mg/ml at about 28°: water >20; methanol >20; ethanol 0.90; isopropanol 0.12; isoamyl alcohol 0.117; petr ether 0.02; carbon tetrachloride 0.042; ether 0.01.
Optical Rotation: [a]D25 -84°
 
Derivative Type: Trihydrochloride-calcium chloride double salt
Additional Names: Streptomycin hydrochloride-calcium chloride complex
Line Formula: (C21H39N7O12.3HCl)2CaCl2
Literature References: Prepn from the trihydrochloride: Peck, US 2446102 (1948 to Merck & Co.).
Properties: Very hygroscopic, dec about 200°. [a]D25 -76°.
Optical Rotation: [a]D25 -76°
 
Derivative Type: Pantothenate
Trademarks: Streptothenat (Grñenthal)
Literature References: Prepn: GB 771338 (1957 to Grünenthal). The commercial prepn may contain the sulfate.
 
Derivative Type: Sesquisulfate
CAS Registry Number: 3810-74-0
Additional Names: Streptomycin sulfate
Trademarks: AgriStrep (Merck & Co.); Streptobrettin (Norbrook); Vetstrep (Merck & Co.)
Molecular Formula: (C21H39N7O12)2.3H2SO4
Molecular Weight: 1457.38
Percent Composition: C 34.61%, H 5.81%, N 13.46%, O 39.52%, S 6.60%
Properties: White to light gray or pale buff powder with faint amine-like odor. Solubilities as determined by Weiss et al., loc. cit., in mg/ml at about 28°: water >20; methanol 0.85; ethanol 0.30; isopropanol 0.01; petr ether 0.015; carbon tetrachloride 0.035; ether 0.035.
 
Therap-Cat: Antibacterial (tuberculostatic).
Therap-Cat-Vet: Antibacterial.
Keywords: Antibacterial (Antibiotics); Aminoglycosides; Antibacterial (Tuberculostatic).

Other Monographs:
Trimellitic Acidα-Aminoadipic AcidLapyrium ChlorideMagnesium Bromate
OctamoxinBalsam CanadaXylosePhenyliodine(III) Bis(trifluoroacetate)
2-Naphthalenesulfonic AcidFluprednidene AcetateMagnesium AcetateTerbacil
PargylineD-Glucaric AcidMefexamideCetrimonium Stearate
©2006-2023 DrugFuture->Chemical Index Database