Rifamycins
Structural Formula Vector Image
Title: Rifamycins
Additional Names: Rifomycins
Literature References: Group of antibiotics characterized by a natural ansa structure (chromophoric naphthohydroquinone group spanned by a long aliphatic bridge) not previously found in other known antibiotics. Isoln from the fermentation broths of Streptomyces mediterranei: P. Sensi et al., Antibiot. Annu. 1959-1960, 262. Among rifamycins, rifamycin B, O, S, SV and X are the more studied members. Prepn of rifamycin B derivs: P. Sensi et al., US 3313804 (1967 to Lepetit). Structure: Prelog, Pure Appl. Chem. 7, 551 (1963); Chemotherapia 7, 133 (1963); Oppolzer et al., Experientia 20, 336 (1964); Oppolzer, Prelog, Helv. Chim. Acta 56, 2287 (1973). Total synthesis of rifamycin S: H. Nagaoka et al., J. Am. Chem. Soc. 102, 7962 (1980); H. Iio et al., ibid. 7965; H. Nagaoka, Y. Kishi, Tetrahedron 37, 3873 (1981); S. Hanessian et al., J. Am. Chem. Soc. 104, 6164 (1982). Review of chemistry of ansamycin antibiotics: K. L. Rinehart et al., Fortschr. Chem. Org. Naturst. 33, 231-307 (1976). General reviews: P. Sensi, Research Progress in Organic-Biological & Medicinal Chemistry vol. 1, U. Gallo, L. Santamaria, Eds. (Società Editoriale Farmaceutica, Milan, Italy, 1964) pp 337-421; Wehrli, Staehelin, in Antibiotics vol. 3, J. W. Corcoran, F. E. Hahn, Eds. (Springer-Verlag, New York, 1975) pp 252-268; C. Gurgo et al., "Rifamycins" in Handbook of Experimental Pharmacology vol. 61, G. V. R. Born et al., Eds., entitled "Chemotherapy of Viral Infections", P. E. Came, L. A. Caliguiri, Eds. (Springer-Verlag, New York, 1982) pp 519-555.
 
Derivative Type: Rifamycin AMP see Rifampin
 
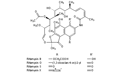
Derivative Type: Rifamycin B
CAS Registry Number: 13929-35-6
CAS Name: 4-O-(Carboxymethyl)rifamycin
Additional Names: nancimycin
Molecular Formula: C39H49NO14
Molecular Weight: 755.80
Percent Composition: C 61.98%, H 6.53%, N 1.85%, O 29.64%
Properties: Yellow prismatic needles from benzene, mp 300° (dec 160-164°). [a]D20 -11° (methanol). Absorption max (phosphate buffer soln pH 7.3): 223, 304, 425 nm (E1%1cm 555, 275, 220). Dibasic acid. Very stable. Solubilities: water 0.027% (w/w), methanol 2.62%, ethanol 0.44%. LD50 in mice (mg/kg): 2040 i.v., >3000 i.p., s.c., and orally (Sensi, 1964).
Melting point: mp 300° (dec 160-164°)
Optical Rotation: [a]D20 -11° (methanol)
Absorption maximum: Absorption max (phosphate buffer soln pH 7.3): 223, 304, 425 nm (E1%1cm 555, 275, 220)
Toxicity data: LD50 in mice (mg/kg): 2040 i.v., >3000 i.p., s.c., and orally (Sensi, 1964)
 
Derivative Type: Rifamycin O
CAS Registry Number: 14487-05-9
CAS Name: 4-O-(Carboxymethyl)-1-deoxy-1,4-dihydro-4-hydroxy-1-oxorifamycin g-lactone
Molecular Formula: C39H47NO14
Molecular Weight: 753.79
Percent Composition: C 62.14%, H 6.28%, N 1.86%, O 29.72%
Literature References: Prepn: P. Sensi et al., Farmaco Ed. Sci. 15, 228 (1960); Umezawa, JP 66 15518 (1966), C.A. 66, 1583v (1967).
Properties: Pale yellow crystals from methanol, mp 300° (dec 160°). Also reported as mp 180-185° (Umezawa). [a]D20 +71.5° (c = 1 in dioxane). uv max (methanol contg 5% acetate buffer soln pH 4.62): 226, 273, 370 nm (E1%1cm 365, 440, 60). Weak acid. Slowly sol in alkaline soln with red-violet color. Sol in acetone, tetrahydrofuran; slightly sol in methanol, ethanol, ethyl acetate. Practically insol in ether, petr ether, water, dilute acids.
Melting point: mp 300° (dec 160°); mp 180-185° (Umezawa)
Optical Rotation: [a]D20 +71.5° (c = 1 in dioxane)
Absorption maximum: uv max (methanol contg 5% acetate buffer soln pH 4.62): 226, 273, 370 nm (E1%1cm 365, 440, 60)
 
Derivative Type: Rifamycin S
CAS Registry Number: 13553-79-2
CAS Name: 1,4-Dideoxy-1,4-dihydro-1,4-dioxorifamycin
Molecular Formula: C37H45NO12
Molecular Weight: 695.75
Percent Composition: C 63.87%, H 6.52%, N 2.01%, O 27.60%
Literature References: Activation product found in solns of rifamycin B and rifamycin O: P. Sensi et al., Experientia 16, 412 (1960).
Properties: Yellow-orange crystals from methanol, dec 179-181°. [a]D20 +476° (c = 0.1 in methanol). Absorption max (phosphate buffer soln pH 7.3): 317, 525 nm (E1%1cm 426, 62). LD50 in mice (mg/kg): 122 i.v.; 258 i.p.; 3000 orally (Sensi, 1964).
Optical Rotation: [a]D20 +476° (c = 0.1 in methanol)
Absorption maximum: Absorption max (phosphate buffer soln pH 7.3): 317, 525 nm (E1%1cm 426, 62)
Toxicity data: LD50 in mice (mg/kg): 122 i.v.; 258 i.p.; 3000 orally (Sensi, 1964)
 
Derivative Type: Rifamycin SV see separate entry
 
Derivative Type: Rifamycin X
Molecular Formula: C37H45N3O11
Molecular Weight: 707.77
Percent Composition: C 62.79%, H 6.41%, N 5.94%, O 24.87%
Literature References: Prepn: Greco et al., Farmaco Ed. Sci. 16, 766 (1961).
Properties: Yellow crystals, no definite mp, dec 135-140°. Unstable to light. [a]D20 +491.8° (c = 0.981 in dioxane). Absorption max (acetate buffer soln): 286, 317, 402 nm (E1%1cm 400, 362, 195). Practically insol in water. Sol in methanol, ethanol, ethyl acetate, benzene.
Optical Rotation: [a]D20 +491.8° (c = 0.981 in dioxane)
Absorption maximum: Absorption max (acetate buffer soln): 286, 317, 402 nm (E1%1cm 400, 362, 195)
 
Derivative Type: Rifamycin AG
Literature References: A condensation product of rifamycin O and aminoguanidine: P. Sensi et al., Antibiot. Chemother. 12, 448 (1962).

Other Monographs:
LycoctonineBeryllium BorohydrideBarium CarbonateFerric and Ammonium Acetate Solution
FeprazoneAlclometasoneIxbutCamazepam
CyproconazoleAllopregnane-3β,11β,21-triol-20-oneAluminum Hexaurea Sulfate TriiodideCefmetazole
CangrelorAmodiaquinSodium RhodizonateDalbavancin
©2006-2023 DrugFuture->Chemical Index Database