NADP
Structural Formula Vector Image
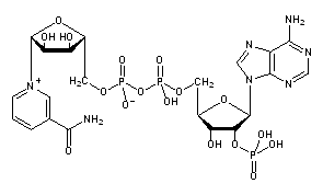
Title: NADP
CAS Registry Number: 53-59-8
CAS Name: Adenosine 5¢-(trihydrogen diphosphate) 2¢-(dihydrogen phosphate) P¢®5¢-ester with 3-(aminocarbonyl)-1-b-D-ribofuranosylpyridinium inner salt
Additional Names: 3-carbamoyl-1-b-D-ribofuranosylpyridinium hydroxide 5¢®5¢-ester with adenosine 2¢-(dihydrogen phosphate) 5¢-(trihydrogen pyrophosphate) inner salt; nicotinamide-adenine dinucleotide phosphate; triphosphopyridine nucleotide; TPN; coenzyme II; Co II; phosphocozymase; codehydrase II; codehydrogenase II
Molecular Formula: C21H28N7O17P3
Molecular Weight: 743.41
Percent Composition: C 33.93%, H 3.80%, N 13.19%, O 36.59%, P 12.50%
Literature References: One of the biologically active forms of nicotinic acid, q.v. Differs from NAD, q.v., by an additional phosphate group at the 2¢-position of the adenosine moiety. Serves as a coenzyme of hydrogenases and dehydrogenases. Present in living cells primarily in the reduced form (NADPH) and is involved in synthetic reactions. Isoln from horse blood: O. Warburg et al., Biochem. Z. 282, 157 (1935); from hog liver by adsorption on charcoal: G. A. LePage, G. C. Mueller, J. Biol. Chem. 180, 975 (1949); from sheep liver by extraction with hot water: A. Kornberg, B. L. Horecker, Biochem. Prep. 3, 24 (1953); from human red blood cells by anion-exchange chromatography: G. R. Bartlett, J. Biol. Chem. 234, 449, 459 (1959). Chemical and enzymatic synthesis: D. R. Walt et al., J. Am. Chem. Soc. 106, 234 (1984). Nomenclature: M. Dixon, Science 132, 1548 (1960). Review of synthesis and metabolism: Y. Nishizuka in Method. Chim. vol. 11, F. Korte, Ed. (Academic Press, New York, 1977) pp 84-87. Review: "Niacin: Nicotinic Acid, Nicotinamide, NAD(P)" in Vitamins, W. Friedrich, Ed. (Walter de Gruyter, Berlin, 1988) pp 473-542.
Properties: Grayish-white powder. pKa1 3.9; pKa2 6.1. uv max: 260 nm (e 18000). Sol in water, methanol. Much less sol in ethanol. Practically insol in ether, ethyl acetate.
pKa: pKa1 3.9; pKa2 6.1
Absorption maximum: uv max: 260 nm (e 18000)
 
Derivative Type: Reduced form
CAS Registry Number: 53-57-6
Additional Names: NADPH; NADPH2; TPNH; dihydrocodehydrogenase II
Molecular Formula: C21H30N7O17P3
Molecular Weight: 745.42
Percent Composition: C 33.84%, H 4.06%, N 13.15%, O 36.49%, P 12.47%
Properties: uv max: 260, 340 nm (e 18000, 6220).
Absorption maximum: uv max: 260, 340 nm (e 18000, 6220)

Other Monographs:
BuckminsterfullerenePefloxacinPyrocatecholAllopregnane-3β,11β,17α,21-tetrol-20-one
DicyclomineThallium CarbonateRoxarsoneTitanium Nitride
Tropaeolin OBrassard's DieneHeteronium BromideConvicine
o-DichlorobenzeneMandelic AcidPerfluidoneParathion
©2006-2023 DrugFuture->Chemical Index Database