Methylene Blue
Structural Formula Vector Image
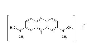
Title: Methylene Blue
CAS Registry Number: 61-73-4
CAS Name: 3,7-Bis(dimethylamino)phenothiazin-5-ium chloride
Additional Names: C.I. Basic Blue 9; methylthioninium chloride; tetramethylthionine chloride; 3,7-bis(dimethylamino)phenazathionium chloride; Swiss blue; C.I. 52015; C.I. Solvent Blue 8
Trademarks: Urolene Blue (Star)
Molecular Formula: C16H18ClN3S
Molecular Weight: 319.85
Percent Composition: C 60.08%, H 5.67%, Cl 11.08%, N 13.14%, S 10.03%
Literature References: First prepd by Caro in 1876. Provided technically as the zinc double chloride; used medically in a zinc free form. Prepn: H. E. Fierz-David, L. Blangey, Fundamental Processes of Dye Chemistry (Interscience, New York, 1949) p 311. See also Colour Index vol. 4 (3rd ed., 1971) p 4470. TLC determn: G. Balansard et al., Ann. Pharm. Fr. 46, 129 (1988). Use as marker for reticulocytes: B. Rudensky, Scand. J. Clin. Lab. Invest. 57, 291 (1997); in melanoma targeted radiotherapy: E. M. Link et al., Pigment Cell Res. 7, 358 (1994); P. J. Blower et al., Nucl. Med. Biol. 24, 305 (1997). Review of use as vital dye: P. Barbosa, T. M. Peters, Histochem. J. 3, 71-93 (1971). History and properties: R. D. Lillie, P. T. Donaldson, Stain Technol. 54, 33-39 (1979). Review of photochemistry: E. M. Tuite, J. M. Kelly, J. Photochem. Photobiol. B 21, 103-124 (1993). Review of use as cationic dye in ceramic quality control: J. E, Funk, D. R. Dinger in Science of Whitewares, V. E. Henkes et al., Eds. (American Ceramic Society, OH, 1996) pp 21-31. Review of use in methemoglobinaemia: J. W. Harvey, A. S. Keitt, Br. J. Haematol. 54, 29-41 (1983).
 
Derivative Type: Trihydrate
CAS Registry Number: 7220-79-3
Properties: Dark green crystals or crystalline powder with bronze luster. Odorless; stable in air. Absorption max: 668, 609 nm. Sol in water and chloroform; sparingly sol in alcohol. Deep blue soln in water or alcohol. Forms double salts.
Absorption maximum: Absorption max: 668, 609 nm
 
Use: Stain in bacteriology; reagent for several chemicals; as mixed indicator; as redox colorimetric agent. Targeting agent for melanoma.
Therap-Cat: Antimethemoglobinemic; antidote (cyanide).
Therap-Cat-Vet: Antiseptic; disinfectant; antidote (cyanide and nitrate).
Keywords: Antidote (Cyanide); Antimethemoglobinemic.

Other Monographs:
Bis(pyridine)iodonium TetrafluoroborateDiacetonamineHexamidineSodium Cellulose Phosphate
GriseofulvinLumazine2-NonyldioxolaneCarglumic acid
Allopregnane-3β,17α,20β-triolOxychloroseneUrsolic AcidAmmonium Zirconyl Carbonate
Titanium NitrideOxaflumazineHolmiumCadmium Selenide
©2006-2023 DrugFuture->Chemical Index Database