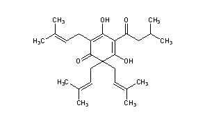
Lupulon
Structural Formula Vector Image
Title: Lupulon
CAS Registry Number: 468-28-0
CAS Name: 3,5-Dihydroxy-2,6,6-tris(3-methyl-2-butenyl)-4-(3-methyl-1-oxobutyl)-2,4-cyclohexadien-1-one
Additional Names: b-bitter acid; b-lupulic acid
Molecular Formula: C26H38O4
Molecular Weight: 414.58
Percent Composition: C 75.32%, H 9.24%, O 15.44%
Literature References: Antimicrobial constituent of hops. Isoln from commercial hops: Bungener, Bull. Soc. Chim. Fr. [2] 45, 487 (1886); Barth, Lintner, Ber. 31, 2022 (1898); Wöllmer, Ber. 49, 780 (1916); Lewis, et al., J. Clin. Invest. 28, 916 (1949). Structure: Wöllmer, Ber. 58, 672 (1925); Wieland, ibid. 102, 2012; Govaert, Verzele, Bull. Soc. Chim. Belg. 58, 432 (1949); Riedl, Ber. 85, 692 (1952). Toxicity study: R. Hänsel, H. H. Wagener, Arzneim.-Forsch. 17, 79 (1967).
Properties: Prisms from 90% methanol, mp 92-94°. Bitter taste esp in alc soln. Turns yellow and amorphous within a few days with development of an odor. Perfectly stable in vacuo even at 60°. Slightly acid reaction. Monobasic acid. Optically inactive. Soluble in methanol, ethanol, petr ether, hexane, isooctane. Slightly sol in neutral or acidic aq solns. Forms a sodium salt which is readily sol in water. The addition of 0.1% ascorbic acid exerts a marked protective action on the bacteriostatic activity of lupulon steamed or autoclaved at a concentration of 4 ppm in phosphate buffers at pH 6.5 and 8.5. LD50 in mice, rats (mg/kg): 525, 100 orally (Hänsel, Wagener).
Melting point: mp 92-94°
Toxicity data: LD50 in mice, rats (mg/kg): 525, 100 orally (Hänsel, Wagener)

Other Monographs:
IpronidazoleBimatoprost2-HeptanolOlaquindox
RafoxanideAdrenal Cortical ExtractParaformaldehydeHematin
Guamecycline2-PyrrolidoneTechnetium 99mTc TeboroximePotassium Silver Cyanide
Sodium MetaborateRamatrobanSodium SilicateSodium Hexafluorosilicate
©2006-2023 DrugFuture->Chemical Index Database