Lactitol
Structural Formula Vector Image
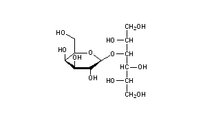
Title: Lactitol
CAS Registry Number: 585-86-4
CAS Name: 4-O-b-D-Galactopyranosyl-D-glucitol
Additional Names: b-galactoside sorbitol; lactit; lactit M; lactite; lactobiosit; lactosit; lactositol
Molecular Formula: C12H24O11
Molecular Weight: 344.31
Percent Composition: C 41.86%, H 7.03%, O 51.11%
Literature References: Polyol sweetener; relative sweetness compared to sucrose is 36%. Prepd by hydrogenation of lactose, q.v.: M. J. B. Senderens, Compt. Rend. 170, 47 (1920); M. L. Wolfrom et al., J. Am. Chem. Soc. 60, 571 (1938). Pharmacology: D. H. Patil et al., Br. J. Nutr. 57, 195 (1987). Crystal structure: J. A. Kanters et al., Acta Crystallogr. C46, 2408 (1990); J. Kivikoski et al., Carbohydr. Res. 223, 45 (1992). Toxicology: E. J. Sinkeldam et al., J. Am. Coll. Toxicol. 11, 165 (1992). Clinical trial in chronic hepatic encephalopathy: O. Riggio et al., Hepatogastroenterology 37, 524 (1990); as a laxative: L. Goovaerts, G. P. Ravelli, Acta Ther. 19, 61 (1993). Review of properties and applications: J. A. van Velthuijsen, J. Agric. Food Chem. 27, 680-686 (1979); of chemistry and use in foods: C. H. den Uyl, Dev. Sweeteners 3, 65-81 (1987).
Properties: Crystals from absolute ethanol, mp 146°. [a]D23 +14° (c = 4 in water). Sol in water, dimethyl sulfoxide, N,N-dimethylformamide; slightly sol in ethanol, ether. Strongly hygroscopic.
Melting point: mp 146°
Optical Rotation: [a]D23 +14° (c = 4 in water)
 
Derivative Type: Monohydrate
CAS Registry Number: 81025-04-9
Trademarks: Importal (Novartis); Portolac (Zyma)
Properties: White, sweet, odorless, crystalline solid. Non-hygroscopic. mp 94-97° (van Velthuijsen), water of crystallization evaporates 145°-185°; also reported as mp 120° (den Uyl). [a]D22 +12.3°. Soly at 25° (g/100 g solvent): water 206; ethanol 0.75; ether 0.4; DMSO 233; DMF 39; at 50°: water 512; ethanol 0.88; at 75°: water 917.
Melting point: mp 94-97° (van Velthuijsen); mp 120° (den Uyl)
Optical Rotation: [a]D22 +12.3°
 
Derivative Type: Dihydrate
CAS Registry Number: 81025-03-8
Trademarks: Lacty (CCA Biochem)
Properties: White, sweet, odorless, crystalline powder. Data for food grade, mp 75°. [a]D25 +13.5-15.0°. pH of 10% solution 4.5 - 8.5. 140 g will dissolve in 100 ml water at 25°.
Melting point: mp 75°
Optical Rotation: [a]D25 +13.5-15.0°
 
Use: Sweetener in food.
Therap-Cat: Laxative. In treatment of hepatic encephalopathy.
Keywords: Laxative/Cathartic.

Other Monographs:
AstaxanthinMagnesium PerchloratePendimethalinTannic Acid
IothionGlybuthiazol(e)Potassium Titanyl OxalateAcetoacetic Acid
BryostatinsCyanic AcidDiisopropylamine DichloroacetateSodium Lauryl Sulfate
p-Chlorobenzoic Acid3,7-Dinitro-5-oxophenothiazineSodium FluoborateLysidine
©2006-2023 DrugFuture->Chemical Index Database