Imazamox
Structural Formula Vector Image
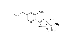
Title: Imazamox
CAS Registry Number: 114311-32-9
CAS Name: 2-[4,5-Dihydro-4-methyl-4-(1-methylethyl)-5-oxo-1H-imidazol-2-yl]-5-(methoxymethyl)-3-pyridinedicarboxylic acid
Additional Names: 2-(4-isopropyl)-4-methyl-5-oxo-2-imidazolin-2-yl-5-(methoxymethyl)nicotinic acid
Manufacturers' Codes: AC-299263; CL-299263
Trademarks: Raptor (BASF)
Molecular Formula: C15H19N3O4
Molecular Weight: 305.33
Percent Composition: C 59.01%, H 6.27%, N 13.76%, O 20.96%
Literature References: Acetohydroxyacid synthase (AHAS) inhibitor. Prepn: R. F. Doehner, Jr., EP 254951; idem et al., US 5334576 (1988, 1994 both to Am. Cyanamid). Chemical and physical properties: G. R. Glover, Proc. South. Weed Sci. Soc. 48, 269 (1995). Metabolism study: B. Tecle et al., Brighton Crop Prot. Conf. - Weeds 1997, 605. CE determn in beans: K. Ohba et al., J. Pestic. Sci. 22, 277 (1997). Field trials: K. A. Nelson, K. A. Renner, Weed Technol. 12, 137 (1998); R. E. Blackshaw, ibid. 64. Soil persistence: T. Cobucci et al., Weed Sci. 46, 258 (1998). Review: T. M. Brady et al., ACS Symp. Ser. 686, 30-37 (1998).
Properties: mp 166.0-166.7°. Soly (g/100 ml): hexane 0.0006; methanol 6.68; acetonitrile 1.85; toluene 0.21; acetone 2.93; dichloromethane 14.3; ethyl acetate 1.02. Soly in water: 4160 ppm. Volatility: <1.0 ´ 10-7 torr. Partition coefficient (octanol/water): 0.004 (pH 7). pK1 2.3; pK2 3.3. LD50 (technical grade) orally in rats: >5000 mg/kg; dermally in rabbits: >4000 mg/kg; LC50 by inhalation in rats: >6.3 mg/l (Glover).
Melting point: mp 166.0-166.7°
pKa: pK1 2.3; pK2 3.3
Log P: Partition coefficient (octanol/water): 0.004 (pH 7)
Toxicity data: LD50 (technical grade) orally in rats: >5000 mg/kg; dermally in rabbits: >4000 mg/kg; LC50 by inhalation in rats: >6.3 mg/l (Glover)
Use: Herbicide.

Other Monographs:
Pro-opiomelanocortinDibutyl PhthalateVapreotidePhysodic Acid
BenzotrichlorideTrisilanesym-Diphenylpyrophosphorodiamidic AcidAluminum Lactate
Isobutyl n-ButyrateIridium HexafluorideMagnesium HydrideSodium Formaldehydesulfoxylate
PurothioninDimethyl SulfoxideVinyl ChlorideAmmonium Binoxalate
©2006-2023 DrugFuture->Chemical Index Database