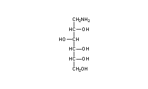
Glucamine
Structural Formula Vector Image
Title: Glucamine
CAS Registry Number: 488-43-7
CAS Name: 1-Amino-1-deoxy-D-glucitol
Additional Names: 1-amino-1-deoxysorbitol; glycamine; D-glucamine
Molecular Formula: C6H15NO5
Molecular Weight: 181.19
Percent Composition: C 39.77%, H 8.34%, N 7.73%, O 44.15%
Literature References: Prepn from D-glucose: Holly et al., J. Am. Chem. Soc. 72, 5416 (1950); from N-benzylglycamine: Kagan et al., ibid. 79, 3541 (1957); by catalytic reduction of glucose in the presence of hydrazine: Lemieux, US 2830983 (1958 to Natl. Res. Council, Ottawa). Commercial prepn: Flint, Salzberg, US 2016962 (1935 to du Pont); Groggins, Stirton, Ind. Eng. Chem. 29, 1358 (1937).
Properties: Crystals from methanol, mp 127°. Sharp, slightly sweet taste. [a]D15 -7.95° (c = 10 in water). Very sol in water; slightly sol in alcohol. Practically insol in ether.
Melting point: mp 127°
Optical Rotation: [a]D15 -7.95° (c = 10 in water)

Other Monographs:
SaponariaBenzimidazoleHomochelidonineMetachrome Yellow
Penicillin Oγ-Carboxyglutamic AcidEtoperidoneOlivanic Acids
OryzalinClobenztropineTrospium ChlorideNaproxen
Acetamide2,4-DiiodoanilinePenicillin G BenzhydrylaminePectolinarigenin
©2006-2023 DrugFuture->Chemical Index Database