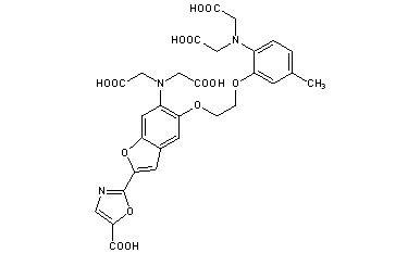
Fura-2
Structural Formula Vector Image
Title: Fura-2
CAS Registry Number: 96314-98-6
CAS Name: 2-[6-[Bis(carboxymethyl)amino]-5-[2-[2-[bis(carboxymethyl)amino]-5-methylphenoxy]ethoxy]-2-benzofuranyl]-5-oxazolecarboxylic acid
Molecular Formula: C29H27N3O14
Molecular Weight: 641.54
Percent Composition: C 54.29%, H 4.24%, N 6.55%, O 34.91%
Literature References: Fluorescent calcium imaging agent; structurally related to BAPTA, q.v. Ca2+ binding causes a spectral shift to shorter wavelengths; ratio of the fluorescence at each wavelength is related to changes in Ca2+ binding and is independent of dye concentration. Also used as pentaacetoxymethyl ester, Fura-2/AM, to enhance crossing of membranes. Prepn: G. Grynkiewicz et al., J. Biol. Chem. 260, 3440 (1985). Binding kinetics to Ca2+: A. P. Jackson et al., FEBS Lett. 216, 35 (1987). Determn of Kd: D. L. Groden et al., Cell Calcium 12, 279 (1991). Spectra of intracellular forms: C. S. Owen, ibid. 385. Photophysics: V. Van den Bergh et al., Biophys. J. 68, 1110 (1995). HPLC determn: M. Castle, E. Neuteboom, J. Chromatogr. A 696, 93 (1995). Determn in tissue: N. N. P. Tran et al., Cell Calcium 18, 420 (1995). Practical aspects of use in intracellular Ca2+ measurement: K. R. Sipido, G. Callewaert, Cardiovasc. Res. 29, 717 (1995).
Properties: uv max absorption (100 mM KCl): 362 nm free dye; 335 nm Ca2+ complex. emission max: 512 nm free dye; 505 nm Ca2+ complex.
Absorption maximum: uv max absorption (100 mM KCl): 362 nm free dye; 335 nm Ca2+ complex
Use: Fluorescent probe for measurement of calcium in biological systems.

Other Monographs:
Muramyl DipeptideCadmium Potassium Cyanide8-Hydroxy-7-iodo-5-quinolinesulfonic Acidα-Bromo-n-caproic Acid
PropoxypheneTricromylChromic Potassium OxalateTretoquinol
IrisoloneOxyfedrine3,3'-Thiodipropionic AcidAmmonium Vanadate(V)
MPTPTubercidinJasmoneAcamprosate Calcium
©2006-2023 DrugFuture->Chemical Index Database