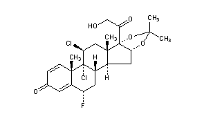
Flucloronide
Structural Formula Vector Image
Title: Flucloronide
CAS Registry Number: 3693-39-8
CAS Name: (6a,11b,16a)-9,11-Dichloro-6-fluoro-21-hydroxy-16,17-[(1-methylethylidene)bis(oxy)]-pregna-1,4-diene-3,20-dione
Additional Names: 9,11b-dichloro-6a-fluoro-16a,17,21-trihydroxypregna-1,4-dien-3,20-dione cyclic 16,17-acetal with acetone; 9a,11b-dichloro-6a-fluoro-21-hydroxy-16a,17a-(isopropylidenedioxy)pregna-1,4-diene-3,20-dione; 6a-fluoro-9a,11b-dichloro-1,4-pregnadiene-16a,17,21-triol-3,20-dione 16,17-acetonide; fluclorolone acetonide
Manufacturers' Codes: RS-2252
Trademarks: Topilar (Syntex)
Molecular Formula: C24H29Cl2FO5
Molecular Weight: 487.39
Percent Composition: C 59.14%, H 6.00%, Cl 14.55%, F 3.90%, O 16.41%
Literature References: Prepn: Bowers, US 3201391 (1965 to Syntex). Activity studies: Dorfman et al., Acta Endocrinol. 49, 262 (1965); several authors in Br. J. Dermatol. 82, suppl. 6, 53-98 (1970). Clinical studies: several authors in Clin. Trials J. 8, 35-63 (1971).
Therap-Cat: Glucocorticoid.
Keywords: Glucocorticoid.

Other Monographs:
AzafrinPotassium Hexafluoromanganate(IV)ThiocresolBenzoctamine
Barium Titanate(IV)Melengestrol AcetatePenthienate Bromide1,3-Di-6-quinolylurea
Barium AcetateCerous ChlorideGuanidineDicloxacillin
Bis(p-dimethylaminobenzylidene)benzidineThomas PhosphateTechnetium 99mTc SestamibiGlyceraldehyde
©2006-2023 DrugFuture->Chemical Index Database