Epirubicin
Structural Formula Vector Image
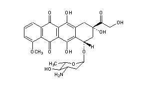
Title: Epirubicin
CAS Registry Number: 56420-45-2
CAS Name: (8S,10S)-10-[(3-Amino-2,3,6-trideoxy-a-L-arabino-hexopyranosyl)oxy]-7,8,9,10-tetrahydro-6,8,11-trihydroxy-8-(hydroxyacetyl)-1-methoxy-5,12-naphthacenedione
Additional Names: 3-glycoloyl-1,2,3,4,6,11-hexahydro-3,5,12-trihydroxy-10-methoxy-6,11-dioxo-1-naphthacenyl-3-amino-2,3,6-tridioxy-a-L-arabino-hexopyranoside; 4¢-epidoxorubicin; 4¢-epiadriamycin; pidorubicin; 4¢-epi-DX
Manufacturers' Codes: IMI-28
Molecular Formula: C27H29NO11
Molecular Weight: 543.52
Percent Composition: C 59.66%, H 5.38%, N 2.58%, O 32.38%
Literature References: Analog of the anthracycline antibiotic doxorubicin, q.v., differing only in the position of the C-4 hydroxy group of the sugar moiety. Prepn: F. Arcamone et al., DE 2510866; eidem, US 4058519 (1975, 1977 both to Soc. Farmaceut. Italia); eidem, J. Med. Chem. 18, 703 (1975); S. Penco, Process Biochem. 15(5), 12 (1980). Purification: E. Oppici et al., BE 898506; eidem, GB 2133005 (both 1984 to Farmitalia Carlo Erba). Comparison with doxorubicin of in vitro activity: A. Di Marco et al., Cancer Res. 36, 1962 (1976). Tissue distribution: C. Italia et al., Br. J. Cancer 47, 545 (1983); F. Arcamone et al., Cancer Chemother. Pharmacol. 12, 157 (1984). HPLC determn in biological fluids: P. E. Deesen, B. Leyland-Jones, Drug Metab. Dispos. 12, 9 (1984); G. Cassinelli et al., ibid. 506. Clinical trials in solid tumors: K. Kolaric et al., J. Cancer Res. Clin. Oncol. 106, 148 (1983). Review of activity in experimental tumors: A. Goldin et al., Invest. New Drugs 3, 3-21 (1985). Review of pharmacology and clinical efficacy: F. Ganzina, Cancer Treat. Rev. 10, 1-22 (1983); R. J. Cersosimo, W. K. Hong, J. Clin. Oncol. 4, 425-439 (1986); P. Hurteloup, F. Ganzina, Drugs Exp. Clin. Res. 13, 233-246 (1986). Review of epirubicin and other anthracycline antineoplastics: R. B. Weiss et al., Cancer Chemother. Pharmacol. 18, 185-97 (1986).
 
Derivative Type: Hydrochloride
CAS Registry Number: 56390-09-1
Trademarks: Ellence (Pharmacia & Upjohn); Farmorubicina (Pharmacia)
Molecular Formula: C27H29NO11.HCl
Molecular Weight: 579.98
Percent Composition: C 55.91%, H 5.21%, N 2.42%, O 30.34%, Cl 6.11%
Properties: Red-orange crystals, mp 185° (dec). [a]D20 +274° (c = 0.01 in methanol). Solution should be protected from sunlight.
Melting point: mp 185° (dec)
Optical Rotation: [a]D20 +274° (c = 0.01 in methanol)
 
Therap-Cat: Antineoplastic.
Keywords: Antineoplastic; Antibiotics and Analogs; Anthracyclines; Topoisomerase II Inhibitor.

Other Monographs:
AurodoxPareiraAluminum Rubidium SulfatePenicillin G Benethamine
Cyclopropyl Methyl EtherGuanabenzPotassium Molybdate(VI)Itramin Tosylate
PrednivalOil of CitronellaAmmonium Sodium PhosphateThiocyanic Acid
PatulinTetrahydrozolineTriethylammonium FormateMercurous Fluoride
©2006-2023 DrugFuture->Chemical Index Database