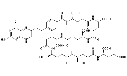
Pteroylhexaglutamylglutamic Acid
Structural Formula Vector Image
Title: Pteroylhexaglutamylglutamic Acid
CAS Registry Number: 6484-74-8
Additional Names: Pteroylheptaglutamic acid; vitamin Bc conjugate; Bc conjugate; PHGA
Molecular Formula: C49H61N13O24
Molecular Weight: 1216.08
Percent Composition: C 48.40%, H 5.06%, N 14.97%, O 31.58%
Literature References: One of the naturally occurring polyglutamates of folic acid. Isoln from yeast: Pfiffner et al., Science 102, 228 (1945); J. Am. Chem. Soc. 68, 1392 (1946). Solid phase synthesis: C. L. Krumdieck, C. M. Baugh, Biochemistry 8, 1568 (1969); eidem, Methods Enzymol. 66, 523 (1980). Chain length characterization of pteroylpolyglutamates: D. G. Priest et al., Anal. Biochem. 115, 163 (1981).
Properties: Rosettes of minute needles from 5% NaCl soln. Has no definite mp. When heated on the hot stage it begins to darken from about 200° and partially melts at 230-260°, and remains partially melted up to 360°. The ultraviolet absorption curves are practically identical with those of folic acid. Sparingly sol in water contg NaCl. Sol in dil NaOH soln.

Other Monographs:
Menthyl BorateAmobarbitaln-Butyl Acrylatep-Bromophenacyl Bromide
Fuller's Earth4,4'-Oxydi-2-butanolFluorescinp-Aminophenol
SulodexideGranulocyte-Macrophage Colony-Stimulating FactorMethidathion2-Amino-4,6-dichlorophenol
Pentylenetetrazolen-Butyl NitriteXylometazolineCephalothin
©2006-2023 DrugFuture->Chemical Index Database