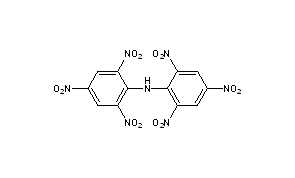
Dipicrylamine
Structural Formula Vector Image
Title: Dipicrylamine
CAS Registry Number: 131-73-7
CAS Name: 2,4,6-Trinitro-N-(2,4,6-trinitrophenyl)benzenamine
Additional Names: 2,4,6,2¢,4¢,6¢-hexanitrodiphenylamine
Molecular Formula: C12H5N7O12
Molecular Weight: 439.21
Percent Composition: C 32.82%, H 1.15%, N 22.32%, O 43.71%
Literature References: Ref: Winkel, Maas, Angew. Chem. 49, 827 (1936).
Properties: Yellow prisms. Has a tendency to explode. mp about 238° with dec. Insol in water, acetone, alcohol or ether. Sol in alkalies, glacial acetic acid.
Melting point: mp about 238° with dec
Use: Reagent for gravimetric determination of potassium.

Other Monographs:
SevofluraneClofarabineKanamycintert-Butyl Hydroperoxide
FluorescinTripamideTalinololPioglitazone
Beryllium FluorideBis(1-methylamyl) Sodium SulfosuccinateCholestanolPrenoxdiazine Hydrochloride
Acetic Acid GlacialCetuximabCoumestrolAminoquinuride
©2006-2023 DrugFuture->Chemical Index Database